Feedback-Training für Lehrärzte in der Allgemeinmedizin
Christiane Eicher 1Katja Hermann 1
Marco Roos 1
Jobst-Henrik Schultz 2
Peter Engeser 1
Joachim Szecsenyi 3
1 Universitätsklinikum Heidelberg, Abteilung Allgemeinmedizin und Versorgungsforschung, Heidelberg, Deutschland
2 Universitätsklinikum Heidelberg, Abteilung Psychosomatische und Allgemeine Klinische Medizin, Heidelberg, Deutschland
3 UUniversitätsklinikum Heidelberg, Abteilung Allgemeinmedizin und Versorgungsforschung, Heidelberg, Deutschland
Zusammenfassung
Hintergrund: Seit der letzten Novelle der Approbationsordnung 2002 besteht die Möglichkeit, ein Tertial des Praktischen Jahres (PJ) in Hausarztpraxen zu absolvieren. Konstruktives Feedback zwischen Arzt und PJ-Studenten ist dabei ein zentrales Element in der Gestaltung des Lernumfeldes in der Arztpraxis. Es bedarf dahingehend einer Ausbildung der in die Lehre involvierten niedergelassenen Lehrärzte.
Methoden: Es wurde ein vierstündiges Feedbacktrainingsprogramm mit standardisierten Rollenspielen für Lehrärzte in der Allgemeinmedizin entwickelt und in einem Pilotversuch umgesetzt. Mittels eines Evaluationsbogens wurde eine Selbsteinschätzung der Teilnehmer im Feedback durch einen Vorher-Nachher-Vergleich erfasst (Bekanntheit von Feedbackregeln, Vorbereitung auf Gesprächssituationen mit PJ-Studierenden, Verbesserungsmöglichkeiten der kommunikativen Fähigkeiten im Arzt-Patienten-Gespräch).
Ergebnisse: 16 allgemeinmedizinisch tätige Ärztinnen und Ärzte, in PJ involviert bzw. daran interessiert, nahmen an dem Feedbacktraining teil. Die Teilnehmer waren ihrer eigenen Einschätzung folgend nach dem Training vertrauter mit formativem Feedback, ebenso im Umgang mit den eigenen kommunikativen Fertigkeiten. Das Selbstvertrauen in das eigene Feedback verbesserte sich vor allem durch die Selbsterfahrung in der studentischen Rolle. Die Kommunikationsübung zwischen einem Standardisierten Patienten und einem uneinsichtigen Standardisierten Studenten wurde als besondere Herausforderung, aber auch als sehr nützlich im Rahmen des Trainings angesehen.
Schlussfolgerung: Die Rückmeldungen der allgemeinmedizinisch tätigen Teilnehmer zum Feedbacktraining bestätigen unseren Ansatz. Wir empfehlen daher die Integration eines solchen Feedbacktrainings in die Ausbildung von Lehrärzten im Fach Allgemeinmedizin.
Schlüsselwörter
Allgemeinmedizin, Feedbacktraining, Standardisierter Patient, Standardisierter Student
Einleitung
„Ziel der ärztlichen Ausbildung ist der wissenschaftlich und praktisch in der Medizin ausgebildete Arzt, der zur eigenverantwortlichen und selbständigen ärztlichen Berufsausübung, zur Weiterbildung und zu ständiger Fortbildung befähigt ist. Die Ausbildung soll grundlegende Kenntnisse, Fähigkeiten und Fertigkeiten in allen Fächern vermitteln, die für eine umfassende Gesundheitsversorgung der Bevölkerung erforderlich sind. Die Ausbildung zum Arzt wird auf wissenschaftlicher Grundlage und praxis- und patientenbezogen durchgeführt“ [3]. Diese Forderungen aus der letzten Novelle der Approbationsordnung stellen neue, über die Vermittlung von reinem Faktenwissen hinausgehende Anforderungen an die Ausbildung. Die Studierenden müssen bis zum Ende ihres Praktischen Jahres (PJ) die benötigten praktischen Fertigkeiten sowie eine entsprechende Haltung dem Patienten gegenüber erreicht haben. Dazu sollte den Studierenden während der Ausbildungszeit ein kontinuierliches, konstruktives Feedback gegeben werden, das als Information des Lehrenden über den Wissensstand seines Studierenden und dessen Umgang mit Patienten dienen kann. Für den Studierenden bedeutet Feedback eine Hilfe, das eigene Vorgehen und die eigenen Fähigkeiten besser zu verstehen, ist aber auch eine Möglichkeit, die Erwartungen der Lehrenden zu verstehen und zu erfüllen. Studierende im PJ beklagen aber gerade den Mangel an konstruktivem Feedback, was qualitative Fokusgruppen an den Medizinischen Universitätskliniken in Tübingen und Heidelberg zeigten [11]. Spickard beschreibt in seinem Artikel “Words hard to say and Hard to hear ‚May I Give You Some Feedback’“ [15] aus der Sicht der Lehrenden, wie schwer es ist, ein konstruktives Feedback zu geben. Seiner Einschätzung nach fehlt gerade niedergelassenen Ärzten in vorderster Front der Lehrenden oft die Fertigkeit zu lehren und zu prüfen. Feedback wird aber von vielen Autoren [6], [7], [9] als ein wesentliches Prüfungselement in Aus- und Weiterbildung gesehen, zu dem es aber nach Henderson [8] weiterhin einen hohen Schulungsbedarf gibt. Durch die Novellierung der Approbationsordnung für Ärzte 2002 [3] kommt dem Fach Allgemeinmedizin neben den Fächern Chirurgie und Innere Medizin eine aufgewertete Position zu, da es neben den obligaten Fächern als einziges der möglichen Wahlfächer explizit erwähnt wird [12]. Seither kann ein Tertial des Praktischen Jahres im Fach Allgemeinmedizin abgeleistet werden. Allgemeinmedizinische Abteilungen und Lehrbereiche sowie die dafür in Frage kommenden akademischen Lehrpraxen müssen sich mit den Herausforderungen des Praktischen Jahres vertraut machen, um den Hochschulabgängern die angestrebten beruflichen Kompetenzen zu vermitteln. Um diese Regeln zu erlernen und anzuwenden, wurde für die in Lehrpraxen tätigen Allgemeinmediziner eine strukturierte, praxisnahe Schulung zur Verbesserung des Feedbacks zwischen Ärzten und Studierenden entwickelt und in einem Training umgesetzt. Feedback konnte in einem geschützten Rahmen mittels Selbsterfahrung erlebt werden.
Methoden
Gemeinsam mit dem Team von MediKIT (Kommunikations- und Interaktionstraining in der Medizin) wurde ein vierstündiges Training für Lehrärzte aus dem Fach Allgemeinmedizin konzipiert und in einer Pilotstudie überprüft. MediKIT ist ein integrierter Bestandteil des Heidelberger Curriculum Medicinale (HeiCuMed) an der Medizinischen Fakultät der Universität Heidelberg. Mithilfe des Einsatzes von Schauspielpatienten können Studierende in einem geschützten Rahmen Anamnese erheben sowie Gesprächsführung in schwierigen Situationen üben. Anschließend erhalten sie ein konstruktives Feedback [10]. Diese Herangehensweise wurde bei der Entwicklung der Schulung für allgemeinmedizinisch tätige Ärzte übernommen.
Die Schulung wurde über die GHA (Gesellschaft der Hochschullehrer Allgemeinmedizin) finanziert und war für deren Mitglieder kostenfrei. Die Schauspieler, die über MediKit geschult wurden, wurden für das Training „eingekauft“. Da ein derartiges Training erstmals durchgeführt wurde, war der Aufwand, bedingt durch Literaturrecherche, Bedarfsanalyse und die Entwicklung von Fragebögen, recht hoch. Eine derartige Schulung wurde mittlerweile mehrfach bei jetzt vergleichsweise geringem Aufwand durchgeführt.
Ablauf der Feedbackschulung
Die Schulung begann mit einer theoretischen Einführung, um für Feedback zu sensibilisieren. Die Teilnehmer machten sich zunächst in Zweiergruppen Gedanken, was Feedback ist, wie sie bisher Feedback gaben und was sie damit bezwecken wollten. Über die Wünsche von Studierenden wurde referiert [5], gefolgt von einer Einführung in die formalen Regeln einer Feedbackgabe (siehe Tabelle 1 [Tab. 1]), die 1998 von Hewson [9] und 2008 von Boehler [2] als erfahrungsbasierte Empfehlungen in ihrer Relevanz verifiziert werden konnten.
Nach diesen theoretischen Ausführungen wurden vier Gruppen gebildet, die unter Leitung eines im Kommunikationstraining erfahrenen Moderators mit Simulationspatienten arbeiteten. Im Verlauf übernahm jeder Teilnehmer einmal die Rolle des Studierenden, der das Gespräch mit dem Schauspielpatienten führt, sowie drei verschiedene Beobachterrollen mit unterschiedlichen Aufgabenschwerpunkten ein (siehe Tabelle 2 [Tab. 2], Beobachter 1-3). Es konnte eine Sensibilisierung für Feedback sowohl aus Sicht der „Studierenden“ wie der Lehrenden stattfinden. Anschließend durchliefen die Teilnehmer die Selbsterfahrungen nach dem gleichen Schema. Es fand ein circa zehnminütiges Gespräch zwischen einem ärztlichen Teilnehmer in der Rolle des Studierenden und dem Standardisierten Patienten statt. Direkt im Anschluss an das Gespräch gab es eine kurze Reflexionsphase, in der vorstrukturierte Bögen ausgeteilt wurden, auf denen die Teilnehmer ihre Beobachtungen aus dem Gespräch notieren konnten. Danach gab zunächst der das Gespräch führende Teilnehmer eine Selbsteinschätzung ab, wie er sich in seiner Rolle des „Studierenden“ fühlte, was aus seiner Sicht gut und was schlecht gelaufen war. Im nächsten Schritt gab der Schauspieler dem Gesprächsführenden ein Feedback, wie es ihm während des Gespräches erging, dann die Gruppe unter Zuhilfenahme der Feedbackbögen. Der jeweilige Moderator konnte das aus seiner Sicht noch Notwendige ergänzen. Dann fand jeweils ein Rollenwechsel statt. Der letzte Übungsteil fand, bedingt durch Zeitlimit sowie vorhandene Ressourcen, im Plenum unter Beteiligung aller Teilnehmer statt. Beobachtet wurde ein Gespräch zwischen einer Standardisierten Patientin und einem uneinsichtigen Standardisierten Studenten. Die Rolle des standardisierten Studenten beinhaltete die Überzeugung, er habe alles richtig gemacht, im Gespräch achtete er aber nicht auf Angaben, Gefühle und Ängste der Patientin. Ein sich anschließendes konstruktives und hier auch korrektives Feedback will er nicht annehmen. Für dieses Rollenspiel einer schwierigen Alltagssituation in der Arzt-Studenten-Beziehung übernahm stellvertretend ein Teilnehmer die Rolle des betreuenden niedergelassenen Arztes, der dem Standardisierten Studenten ein Feedback gab. Je nach standardisierter Beobachterrolle fügten die übrigen Teilnehmer ergänzende Kommentare hinzu. Neben den bereits bekannten Beobachterrollen wurden noch drei weitere eingeführt (siehe Tabelle 2 [Tab. 2], Beobachter 4-6), wobei die Beobachterrolle 4 von mehreren Teilnehmern eingenommen wurde.
Schulungsfälle
Für den Workshop wurden aus dem Pool der Schulungsfälle von MediKIT vier realitätsnahe Fälle mit den Krankheitsbildern „Gallenkolik“, „Essstörung“, „Migräne“ und „somatoforme Schmerzstörung“ verwendet und für die besondere Situation modifiziert. Darüber hinaus wurde ein fünfter Schulungsfall als Interaktion zwischen einem Standardisierten Studenten und einem Standardisierten Patienten konzipiert. Zu allen Schulungsfällen wurden fallspezifische, für das Fach Allgemeinmedizin gültige Lernziele definiert und in mögliche Anamnesefragen sowie zu erwartende Antworten übersetzt. Die Schauspieler, die die Rollen der Standardisierten Patienten bzw. des Standardisierten Studenten übernahmen, wurden umfangreich in der Gabe eines konstruktiven Feedbacks geschult.
Rekrutierung der Teilnehmer
Initiiert durch die Gesellschaft der Hochschullehrer für Allgemeinmedizin (GHA) wurde im April 2007 an allen deutschen Abteilungen/Lehrbereichen für Allgemeinmedizin angefragt, welche ihrer Lehrpraxen an einer Qualifizierung für das Praktische Jahr interessiert seien. Die interessierten Lehrpraxen wurden kontaktiert und zu dem Training eingeladen.
Evaluationsinstrumente zur subjektiven Kompetenzeinschätzung
Zur Evaluation der subjektiven Kompetenzeinschätzung der Teilnehmer wählten wir eine Vorher-Nachher-Befragung mittels zweier Evaluationsbögen. Der Prä-Evaluationsbogen bestand aus acht Items und wurde direkt vor Beginn des Trainings erhoben. Die einzelnen Items erfragten bei den Teilnehmern, ob sie die Regeln des Feedbackgebens im Detail kennen und inwieweit sie sicher in der Durchführung entsprechend der Regeln sind. Die Teilnehmer schätzten ihre eigenen kommunikativen Fähigkeiten im Arzt-Patienten-Gespräch ein. Außerdem wurden die Ärzte gefragt, ob sie in der Vergangenheit bereits an einem Kommunikations- und/oder Feedbacktraining mit Standardisierten Patienten teilgenommen hatten. Direkt im Anschluss an das Training wurde ein Post-Evaluationsbogen ausgefüllt, der sieben weitere Items enthielt. Außer den Fragen des ersten Bogens wurden Aspekte zu Authentizität und Nutzen erfasst, indem gefragt wurde, inwieweit ein Fall authentisch bzw. nützlich zur Schulung der kommunikativen Kompetenz war. Durch die Angabe, bei welchem Fall die Rolle des „Studierenden“ eingenommen wurde, sollte das subjektive Erleben der Teilnehmer mit der Authentizität der Fälle verglichen werden. Alle Fragen wurden auf einer 6-stufigen Likert-Skala (1 = stimme voll zu, 2= stimme über-wiegend zu, 3= stimme eher zu, 4= stimme teilweise zu, 5= stimme eher nicht zu, 6 = stimme überhaupt nicht zu) bewertet.
Statistische Analyse
Die Daten der subjektiven Kompetenzeinschätzung (Kommunikation, Feedbackgabe) wurden mit Hilfe des Statistikprogramms SPSS ausgewertet. Deskriptiv werden Mittelwerte und Standardabweichungen angegeben. Aufgrund des geringen Stichprobenumfangs werden Unterschiede zwischen den gleich lautenden Items in Prä- und Post-Evaluationsbogen mittels des nichtparametrischen Wilcoxon-Test überprüft.
Ergebnisse
Stichprobenbeschreibung
Für 16 allgemeinmedizinisch tätige Ärztinnen und Ärzte von neun deutschen Universitäten, in der PJ-Ausbildung bereits involviert bzw. daran interessiert, war das Thema interessant und der Termin realisierbar. Die erhobenen demographischen Daten der Stichprobe sind in Tabelle 3 [Tab. 3] aufgelistet.

Quantitative Auswertung
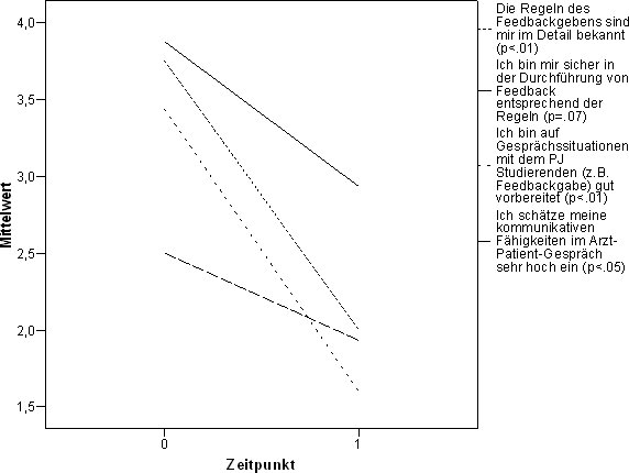
Das Training wurde mehrheitlich positiv beurteilt. Die Auswertung der Items aus dem Postevaluationsbogen ergab, dass Feedback durch die Standardisierten Patienten von 15 Teilnehmern (94%), das Feedback der Beobachter von 11 Teilnehmern (69%) als hilfreich wahrgenommen wurde. Das aktive Feedback als Teilnehmer erlebte 10 Ärzte (63%) als sehr nützlich. Eine Verbesserung der Fertigkeiten des Feedbacks durch eine Selbsterfahrung in der ärztlichen Rolle attestierten 11 Teilnehmer (69%) mit voller Zustimmung. Die letzte Trainingseinheit im Plenum zwischen Standardisiertem Patienten und Standardisiertem Studenten wurde als Herausforderung, aber auch von 10 Teilnehmern (63%) als sehr hilfreich bewertet. In die Auswertung floss jeweils die Bewertung, „stimme voll zu“ ein. Die Ergebnisse der Befragungen zu den Zeitpunkten to (vor dem Training) und t1 (direkt nach dem Training) zeigten insgesamt einen positiven Trend (siehe Abbildung 1 [Abb. 1]). Die Ärzte schätzten ihre detaillierte Kenntnis der Feedbackregeln nach dem Training signifikant besser als vorher (N=16; to: M=3,75, SD=1,57; t1: M=2,00, SD=0,89; p<.01) ein. Ebenfalls signifikant besser fühlten sie sich nach dem Training auf Gesprächssituationen (z.B. Feedbackgabe) mit PJ Studierenden vorbereitet (N=16; to: M=3,44, SD=1,32; t1: M=1,63, SD=0,89; p<.01). Die kommunikativen Fähigkeiten im Arzt-Patienten-Gespräch verbesserten sich nach Einschätzung der Teilnehmer ebenfalls signifikant (N=16; to: M=2,50, SD=0,82; t1: M=1,88, SD=0,96; p<.05). Zu der Frage, wie sicher sich die Teilnehmer in der Durchführung von Feedback entsprechend der Regeln fühlten, gab es tendenziell eine Verbesserung (N=15; to: M=3,88, SD=1,41; t1: M=2,93, SD=1,34; p=.07; eine fehlende Angabe). Nach Einschätzung der Teilnehmer wurden alle vier verwendeten Fälle als authentisch erlebt und waren dazu geeignet, die kommunikative Kompetenz zu verbessern. Zuletzt ist zu bemerken, dass alle 16 Teilnehmer angaben, dass sie Spaß an dem Training hatten.

Qualitative Auswertung des Trainings
Auf dem Fragebogen beschrieben die Teilnehmer in Freitextangaben die Schwierigkeit, einem uneinsichtigen Studierenden ein konstruktives Feedback zu geben. Positiv wurde das Lernen in kleinen Gruppen, die praktische Ausrichtung, die Wertigkeit der Beiträge, die Arbeit mit Standardisierten Patienten und Studenten und die Möglichkeit zu „Patientenorientierter“ Selbsterfahrung durch das Feedback der Gruppe erlebt. Einer der Teilnehmer schrieb, „Top waren die Patientenschauspieler, daher gab es einen hohen Lernerfolg, gut war das klare Feedback der Kollegen und die Möglichkeit, operativ/situative Änderungen zuzulassen“.
Diskussion
Feedback ist eine Möglichkeit, Wissens- und Ausbildungsstand an Studierende zurück zu melden. Darüber hinaus gibt es Lehrenden die Möglichkeit, den Ausbildungsstand im Sinne einer formativen Prüfung zu bewerten. Wie die Arbeiten von Hewson [9], Nikendei [13] und zuletzt Boehler [2] zeigen, wird mittlerweile Relevanz und Akzeptanz des Feedbackgebens erkannt. Das hier vorgestellte Training hatte zum Ziel, Feedback mittels Selbsterfahrung in einem geschützten Rahmen zu erleben, um eine Verbesserung im Geben von Feedback zu erzielen. Die Ergebnisse dieses ersten Trainings unterstützen unsere Annahme, dass ein derartiger Einsatz der Verbesserung der Feedbackkultur dienen kann. Alle Ärzte konnten einmal in der Rolle von Studierenden agieren und bewerteten später aus ihrer Sichtweise die fünf Simulationsfälle als authentisch. Die Einschätzung der Teilnehmer bestätigt unsere Methode der Vermittlung von Feedback. Durch das hohe Maß an Authentizität können sich Teilnehmer ernsthaft auf die Aufgabenstellung einlassen und sich dadurch in einer Situation, die nahe an der späteren Lehrrealität ist, erproben. Durch diese Methode können sie sich zusätzlich in die Rolle des Studierenden versetzen und über die Wechselwirkung von Arzt/Lehrender-Student reflektieren. Wir sehen diese Erfahrung als essentiell für die spätere Feedbackgabe in der Lehrsituation mit Studenten.
Wir wählten aus Gründen der Machbarkeit die subjektive Einschätzung des Lernerfolges durch einen Prä/Post-Fragebogen, wohl wissend dass Selbsteinschätzung ein sehr subjektives Instrument ist und der vorab ausgefüllte Prä-Fragebogen eine spezifische Aufmerksamkeit induziert, was zu einer Verzerrung führen kann. Vor diesem Hintergrund zeigte sich, dass zumindest bei den Lehrenden unserer Stichprobe Feedback noch nicht allgemein bekannt ist und noch weniger genutzt wird. Die Ergebnisse aus der Post-Evaluation zeigen eine deutliche Verbesserung, wohl durch die Interaktionen zwischen Standardisierten Patienten und den Lehrenden, da diese in der Rolle der Studierenden vielleicht eher gemerkt haben, wie schwierig ein gutes Feedback insbesondere für Kollegen sein kann. Obwohl die Teilnehmer noch unter dem Eindruck des gerade Erlebten standen und die Befragung nach einem angemessenen Zeitraum aussagekräftiger gewesen wäre, lassen sich doch kurzfristig gute Ergebnisse zeigen. Das Feedback durch den jeweiligen Standardisierten Patienten und die anderen Teilnehmer wurde von der Mehrheit als hilfreich angesehen, ebenso die Möglichkeit zur aktiven Feedbackgabe. Wir konnten das sicherlich sehr wichtige Feedback der Standardisierten Schauspieler nicht in unsere Auswertung integrieren, dazu hätten wir Verbatim-Protokolle führen und auswerten müssen, was in Anbetracht unserer Ressourcen nicht möglich war. Für weitere Schulungen ist das geplant, da Schauspieler auf Feedback trainiert sind und ihre Empfindungen in der Patientenrolle an die „Lernenden“ weitergeben können und so als Vorbild für ein gutes Feedback dienen können. Da die Teilnehmer sowohl die Selbsterfahrung in der Rolle des Studierenden als nützlich empfanden und ihre kommunikativen Fähigkeiten verbessert sahen, erscheint ein Transfer auf Alltagssituationen im Bereich des Möglichen zu sein. Die letzte Interaktion im Plenum zwischen Standardisierter Patientin und uneinsichtigem Standardisierten Studenten zeigte eine neue Sichtweise, quasi eine Betrachtung von außen. Diese Übung wurde auch von allen Teilnehmern als besondere Herausforderung eingeschätzt.
Die guten Ergebnisse dieses Trainings mögen mit weiteren Faktoren zusammenhängen. Die Teilnehmerzahl war mit 16 Kolleginnen und Kollegen recht klein, es waren vielleicht besonders engagierte Lehrende, denen die Lehre Freude bereitet. Der Großteil der Teilnehmer ist mit dem Studentenunterricht schon über einen längeren Zeitraum vertraut, was sich ebenfalls auf die Ergebnisse auswirken kann. Weitere Untersuchungen mit in der Lehre noch wenig vertrauten Allgemeinmedizinern sowie zur Nachhaltigkeit eines derartigen Trainings sollten angeschlossen werden. Mit dieser Arbeit kann ebenfalls nicht gezeigt werden, inwieweit das Erlernte in die Praxis umgesetzt wird. Dem sollte auch in einem Folgeprojekt nachgegangen werden.
Schlussfolgerung
Die Planung und Implementierung eines solchen Feedbacktrainings ist sicherlich mit Aufwand verbunden. Das Training muss in einen theoretischen Rahmen gebettet werden, der die Teilnehmer an ihrem aktuellen Stand „abholt“. Schulungsfälle müssen konzipiert und Schauspieler entsprechend instruiert werden. Das ist zeit- und ressourcenaufwändig. Wir konnten zeigen, dass durch ein derartiges Training ein Beitrag zur Verbesserung des Feedbackgebens erzielt werden kann. Uns ist für ein derartiges Element der Qualitätssicherung und -steigerung in der studentischen Ausbildung der Aufwand gerechtfertigt, zumal die hohen Ressourcen, die für die Entwicklung nötig waren, bei den Folgeschulungen nicht mehr benötigt werden. Daher empfehlen wir ausdrücklich eine Integration von Feedback-Schulungen in das Training von Ausbildungsärzten im Fach Allgemeinmedizin. Durch Weiterentwicklung und Evaluierung der Nachhaltigkeit eines derartigen Trainings sollten Daten zur Bestätigung dieses Trends gefunden werden.
Danksagung
Mein Dank gilt Frau Heike Lauber von „MediKIT“ der Medizinischen Fakultät Heidelberg für die Auswahl und das Training der Schauspieler.
Literatur
[1] Barrows HS. An overview of the uses of standardized patients for teaching and evaluating clinical skills. AAMC. Acad Med. 1993;68(6):443-453. DOI:10.1097/00001888-199306000-00002[2] Boehler M, Rogers D, Schwind C, Mayforth R, Quin J, Williams R, Dunnington G. An investigation of medical student reactions to feedback: a randomised controlled trial. Med Educ. 2006;40(8):746-749. DOI:10.1111/j.1365-2929.2006.02503.x
[3] Bundesministerium für Gesundheit. Approbationsordnung für Ärzte (ÄAppO) vom 28.12.1970, in der Fassung vom 16.4.1987, BGBl. I: 1218, geändert durch Gesetz vom 20.12.1988 BGBl. I: 2477, geändert durch Verordnung vom 27.4.1993 BGBl. I: 512, geändert durch Verordnung vom 27.6.2002. BGBl. 2002;44:2405-2435.
[4] Fröhmel A, Burger W, Ortwein H. Einbindung von Simulationspatienten in das Studium der Humanmedizin in Deutschland. Dtsch Med Wochenschr. 2007;132(11):549-554. DOI:10.1055/s-2007-970375
[5] Furney SL, Orsini AN, Orsetti KE, Stern DT, Gruppen LD, Irby DM. Teaching the One-minute Preceptor. A Randomized Controlled Trial. J Gen Med. 2001;16(9):620-624.
[6] Gelula MH, Yudkowsky R. Microteaching and standardized students support faculty development for clinical teaching. Acad Med. 2002;77(9):941. DOI:10.1097/00001888-200209000-00048
[7] Gelula MH, Yudkowsky R. Using standardized students in faculty development Trainings to improve clinical teaching skills. Med Educ. 2003;37(7):621-629. DOI:10.1046/j.1365-2923.2003.01556.x
[8] Henderson P, Ferguson-Smith A, Johnson MH. Developing essential professional skills: a framework for teaching and learning about feedback. BMC Med Educ. 2005;5(1):5-11. DOI:10.1186/1472-6920-5-11
[9] Hewson MG, Little M. Giving Feedback in Medical Education. Verification of Recommended Techniques. J Gen Intern Med. 1998;13(2):111-116. DOI:10.1046/j.1525-1497.1998.00027.x
[10] Jünger J, Lauber H, Schultz JH, Herzog W. 5 Jahre Kommunikations- und Interaktionstraining von Medizinstudenten (Medi-KIT): von der Insellösung zum longitudinalen Curriculum. GMS Z Med Ausbild. 2007;24(1):Doc68. Zugänglich unter: http://www.egms.de/en/journals/zma/2007-24/zma000362.shtml
[11] Kraus B, Briem S, Jünger J, Schrauth M, Weyrich P, Herzog W, Zipfel S, Nikendei C. Entwicklung und Evaluation eines Schulungsprogramms im Praktischen Jahr in der Inneren Medizin. GMS Z Med Ausbild. 2006;23(4):Doc70. Zugänglich unter: http://www.egms.de/en/journals/zma/2006-23/zma000289.shtml
[12] Moßhammer D, Lorenz G, Shiozawa T. Entwicklung von Lernzielen für das Tertial Allgemeinmedizin im Praktischen Jahr. GMS Z Med Ausbild. 2008;25(1):Doc73. Zugänglich unter: http://www.egms.de/en/journals/zma/2008-25/zma000557.shtml.
[13] Nikendei C, Zipfel S, Roth C, Löwe B, Herzog W, Jünger J. Kommunikations- und Interaktionstraining im psychosomatischen Praktikum: Einsatz von standardisierten Patienten. Psychother Psychosom Med Psychol. 2003;53(11):440-445. DOI:10.1055/s-2003-43388
[14] Ortwein H, Fröhmel A, Burger W. Einsatz von Simulationspatienten als Lehr-, Lern-und Prüfungsform. Psychother Psychosom Med Psychol. 2006;56(1):23-29. DOI:10.1055/s-2005-867058
[15] Spickard A. Words hard to say and Hard to hear “May I Give You Some Feedback?” J Gen Intern Med. 1998;13(2):142-143. DOI:10.1046/j.1525-1497.1998.00034.x





