Auffälliges Neugeborenen Hörscreening – und dann? Hörgeräteakzeptanz im Verlauf der ersten 12 Monate nach Versorgung
Barbara Streicher 1Katrin Kral 1
Ruth Lang-Roth 1
1 Klinik und Poliklinik für HNO-Heilkunde, Kopf- und Hals-Chirurgie, Schwerpunkt Phoniatrie und Pädaudiologie/CIK, Medizinische Fakultät, Universität zu Köln, Köln, Deutschland
Zusammenfassung
Die frühe Diagnose durch das Neugeborenen-Hörscreening und die folgende Therapie bei Kindern mit Schwerhörigkeiten seit der Einführung des Neugeborenen-Hörscreenings stellt einen großen Meilenstein für die spätere Sprachentwicklung dar. Durch die frühe Anpassung von Hörsystemen ist prognostisch eine bessere Ausgangslage für die zukünftige Hör- und Sprachentwicklung des Kindes gegeben.
Während der pädaudiologischen Diagnostik und der frühen Hörgeräteanpassung ist ein multiprofessionelles Netzwerk von Ärzten, Audiologen und Pädagogen tätig. Dadurch werden Kinder mit frühkindlicher permanenter Hörstörung gut versorgt. Das Tragen der Hörsysteme ist ein wesentlicher Faktor, damit die auditive Feedbackschleife ausgebildet werden kann und die Interaktion zwischen Eltern und ihren Kindern ihren natürlichen Lauf nimmt.
In der klinischen Routine wird neben den ärztlichen und audiometrischen Kontrollen eine pädagogisch-therapeutische Vorstellung und ein Beratungsgespräch durchgeführt. Zur Erfassung der ersten Hör- und Sprachentwicklung wird regelhaft der „LittlEars“-Fragebogen (LEAQ) ausgegeben. In dieser Studie wurden von 178 Probanden die Hörgerätetragedauer und die Ergebnisse des LEAQ ausgewertet.
Im LEAQ-Fragebogen konnten im Mittel 15 (0–35; SD 9,2) Fragen positiv beantwortet werden. Bei einem durchschnittlichen Lebensalter von 12 Monaten und fünf Tagen (MW) Monaten entspricht der Wert in dieser Stichprobe dem Entwicklungsalter von 6–10 Monaten. Für die Studiengruppe liegt demnach die durchschnittliche Diskrepanz vom Lebens- zum Hörentwicklungsalter zwischen 2 Monaten und 4 Monaten und fünf Tagen.
Die Auswertung der Beratungsgespräche in Verbindung mit den Ergebnissen des Dataloggings ergeben, dass die Akzeptanz der Hörgeräte (Tragezeit) lediglich bei 44,9% der Kinder gut (8–12 h) ist. Bei 25,3% besteht eine mittlere (4–7,9 h) und bei 29,8% eine schlechte Akzeptanz (<3,9 h). Anhand dieser Ergebnisse wird der Bedarf an niedrigschwelliger, ergänzender Beratung in Bezug auf den Einfluss der Verbesserung der auditiven Wahrnehmung durch die Hörgeräte und deren Auswirkungen auf den zukünftigen Spracherwerb deutlich.
Schlüsselwörter
Kinder mit Hörschädigung, Hörgeräte, Schwerhörigkeit, Rehabilitation von Hörschädigung, Sprachentwicklungsstörung, einseitige Taubheit, asymmetrische Schwerhörigkeit
Einleitung
Frühkindliche permanente Hörstörungen betreffen etwa 1–3 von 1.000 Kindern und führen unbehandelt, in Abhängigkeit vom Grad der Hörstörung, zu einer Verzögerung der Sprachentwicklung und häufig auch der kognitiven Entwicklung. Das Neugeborenen-Hörscreening (NHS) wurde 2009 nach Vorbereitung durch den Gemeinsamen Bundesausschuss (G-BA) flächendeckend in Deutschland eingeführt, so dass heute die meisten frühkindlichen Hörstörungen bereits im frühen Säuglingsalter diagnostiziert werden [1], [2]. Durch die frühzeitige Einbindung in die klinische Versorgung steht Kindern mit Hörstörungen und ihren Familien ein großes Behandlungsspektrum an Begleitung mit Hörgeräten oder implantierbaren Hörsystemen zur Verfügung [3], [4]. Bedingt durch das geringe Alter der Kinder und deren physiologische Reifungsprozesse stellt dies eine besondere Herausforderung für die pädaudiologische Diagnostik dar. Neben den messtechnischen Möglichkeiten bedarf es einer geschulten Beobachtung der sehr jungen Kinder während der Einstellung der Hörsysteme (Hörgeräte, Cochlea-Implantate). Subjektive Beobachtungskriterien wie die Veränderung der Atemfrequenz, der Gesichtsfarbe, des Saugreflexes und der Bewegung der Extremitäten sind nur einige der möglichen Reaktionen, die während der Anpassung des Hörsystems auftreten können [5].
Mit der gegenwärtigen Hörgeräteversorgung ist die Erwartung verbunden, dass auch bei Kindern, die mit einer Hörminderung geboren wurden, während der frühen Phasen des primären Spracherwerbs die Grundlage für eine altersgerechte Hör- und Sprachentwicklung gelegt werden kann. Bereits während des ersten Lebensjahres artikuliert das Kind ab dem dritten bis sechsten Lebensmonat erste Laute, so dass sich die auditorische Feedbackschleife entwickelt [4]. Fehlt hier der angemessene Input seitens der Familie, verändert das die Varianz und Quantität der lautlichen Äußerungen. Da die mütterliche und väterliche Interaktion, die Sprechrate und die Kontingenz zwischen der primären Bezugsperson und dem Kind die Grundlage für das akustisch-linguistische Lernen darstellen [6], sollte im Prozess der frühen Hörgeräteanpassung das Bedingungsfeld und die Lebenswelt der Eltern mitberücksichtigt werden. Im Kontext der frühen kommunikativen Entwicklung können sich die Sensomotorik, Kognition und Motorik ausbilden [7], [8]. Im Falle der späten Versorgung mit Hörsystemen wird der Spracherwerb derart beeinträchtigt, dass dies entsprechende Auswirkungen bis ins Erwachsenenleben haben kann.
In Deutschland existiert ein enges Protokoll für das NHS und das Follow-Up [1], [9]. Das NHS wird in der Regel in der Geburtsklinik durchgeführt. Die meisten Kliniken nutzen ein 2-Stufen-Screening mit TEOAE- und AABR-Messung; seltener wird ein reines AABR-Screening eingesetzt. Im 2-Stufen-Hörscreening erfolgt die Erstuntersuchung des Neugeborenen mit automatisierten TEOAE. Die Follow-Up Stufe 1 kann in Praxen (HNO, Pädiatrie, Phoniatrie und Pädaudiologie) mit entsprechender technischer Ausrüstung (automatisierte Untersuchung und Befundung von ABR) durchgeführt werden. Ein weiterhin nicht unauffälliges Kontrollscreening macht die pädaudiologische Konfirmationsdiagnostik (Follow-Up-Stufe 2) in spezialisierten Einrichtungen notwendig, die bis zur 12. Lebenswoche abgeschlossen sein sollte (Kinderrichtlinie §5, Absatz 1–4 [10], [11]). Bis spätestens zum 6. Lebensmonat sollte eine notwendige Therapie eingeleitet worden sein [1], [12].
Neben den klinischen Einrichtungen steht ein Netzwerk von Institutionen zur Verfügung, das den Eltern nach Diagnose und Erstanpassung von Hörgeräten einen Rückhalt in Beratung und Förderung bietet. Im Idealfall besteht eine interdisziplinäre Zusammenarbeit zwischen den verschiedenen Teilgebieten der Versorgung von Kindern mit Hörstörung. Hier sind die Kinderärzt:innen und Neuropädiater:innen zum Ausschluss von Erkrankungen oder Syndromen zu nennen, des Weiteren spezialisierte Akustiker:innen und Pädakustiker:innen, die die Erfahrung mitbringen, sehr jungen Kindern angemessene Otoplastiken und Hörgeräte anzupassen, sowie Sonderpädagog:innen aus der allgemeinen und Frühförderung im Schwerpunkt Hören und Kommunikation [1]. In Deutschland ist die Frühförderung von Kindern mit Hörschädigung aufgrund der föderalen Strukturen durch die Bundesländer geregelt. In der Regel ist die Frühförderung im Förderschwerpunkt Hören und Kommunikation an den Einrichtungen/Schulen für Menschen mit Hörschädigung angesiedelt und wird durch Sonderpädagog:innen praktiziert [13]. Für die Familien sind vielfältige Möglichkeiten der frühen Förderung je nach Bundesland möglich [14], [15].
Die oben genannten Regelungen sollten vom ersten Verdacht an über die Konfirmationsdiagnostik und Einleitung der Therapie durch Hörgeräte und Frühförderung den idealen Weg für die Entwicklung des Kindes innerhalb der sensiblen Phasen der Hörbahnreifung und Sprachentwicklung ermöglichen. Ziel ist es, Kinder mit hochgradigen Hörstörungen früh zu erkennen, die Voraussetzungen für den Lautspracherwerb zu schaffen und ggf. den Schritt zur Einleitung weiterer Maßnahmen, z.B. der präoperativen Diagnostik vor Cochlea-Implantation, einzuleiten.
Um die optimalen Bedingungen für die Reifung der Hörbahn zu erreichen, ist die Qualität und Quantität des auditiven Inputs in den ersten Lebensjahren von großer Bedeutung. Bereits vor der Einführung des NHS wurde die Hörgeräte-Trageakzeptanz bei Kindern untersucht [16]. Die Trageakzeptanz wurde mittels Fragebogen bei 116 Elternteilen untersucht. 58% der Kinder akzeptierten die Hörgeräte sehr gut bis gut, 18,1% nahmen sie mittelmäßig an und 23% der Kinder akzeptierten die Geräte sehr schlecht bis gar nicht. Vor allem Kinder mit einseitiger Schwerhörigkeit, Kinder mit Schallleitungsschwerhörigkeiten, Kinder mit zusätzlichen Behinderungen und Kinder, die primär aus nicht deutschen Elternhäusern stammten, zeigten eine schlechte Akzeptanz [16].
Kinder, deren Schwerhörigkeit im Schweregrad zwischen gering- und hochgradig liegt, wurden bisher selten prospektiv untersucht. In der vorliegenden Studie der Abteilung für Phoniatrie und Pädaudiologie der Uniklinik Köln wurden Daten von diesen Kindern im ersten Lebensjahr erhoben, um genauer zu untersuchen, wie die Tragezeit von Hörgeräten mit der beginnenden Hör- und Sprachentwicklung zusammenhängt.
Ziel der Untersuchung ist neben qualitätssichernden Maßnahmen auch die Langzeitbeobachtung der kindlichen Entwicklung von Kindern mit Schwerhörigkeit. Zu festgesetzten Zeitpunkten wird die Hör- und Sprachentwicklung mittels gelenktem Elterninterview, Fragebögen und standardisierten Testverfahren untersucht.
In diesem Artikel wird eine Zwischenbilanz des ersten Messzeitpunkts gezogen, bei dem die Kinder um den ersten Geburtstag untersucht wurden. Die zentralen Fragestellungen befassen sich mit der Entwicklung und der Hörgeräteakzeptanz der früh versorgten Kinder.
Methode
In der pädaudiologischen Sprechstunde wurden Kinder mit Schwerhörigkeit regelhaft vorgestellt. In der vorliegenden Studie wird neben der Verhaltensbeobachtung, der Überprüfung der Hörschwellen und der Hörgerätekontrolle der Fragebogen LEAQ ausgegeben und die Dauer der Tragezeit über das Datalogging ausgewertet.
Verhaltensbeobachtung
Neben dem LEAQ erfolgte die Verlaufsdiagnostik durch eine Heil-/Sonderpädagogin oder Logopädin nach den Prinzipien der multimethodalen Diagnostik. Auf der Handlungsebene wurde die Hörreaktion bei Instrumenten und den Ling-Lauten [17], [18], [19], das präverbale und verbale, das kommunikative Verhalten sowie das Spielverhalten beobachtet und analysiert [20]. Mit den Eltern wurden Fragen zum Trageverhalten mit Hörgeräten oder zur Entwicklung besprochen. Die Untersuchung fand in einer kindgerechten Umgebung statt.
Datalogging
In dieser Studie wurden verschiedene Angaben zur Tragedauer ausgewertet, da die subjektive Einschätzung der Eltern von den Werten des Dataloggings aus der Hörgerätesoftware abweichen kann. Die Beurteilung der Tragezeit von Kindern über das Datalogging kann jedoch ebenfalls fehlerbehaftet sein und ist deshalb nicht ausschließlich zur Beurteilung der Tragezeit bei Kindern nutzbar [21]. Die Befragung der Eltern zum Trageverhalten im Rahmen der Anamnese und Hörgerätekontrolle gehört zum Konzept, so dass eine plausible Einschätzung des Trageverhaltens gewonnen werden kann. Die Einteilung in gute Akzeptanz (8–12 h täglich), mittlere Akzeptanz (4 bis 7,9 h täglich), und kaum getragen bis fehlende Akzeptanz (<3,9 h täglich) soll die Analyse vereinfachen. Zur spezifischeren Auswertung des Trageverhaltens wird eine Untergruppe (n=122) gebildet. In dieser Untergruppe war das Datalogging verfügbar.
Erste Erfahrungen mit dem Datalogging zeigten, dass die oben genannten Angaben in Stunden die subjektive Einschätzung der Eltern widerspiegeln. Bedienfehler des Hörgerätes, defekte Geräte oder Infektionen führten dazu, dass die Tragezeit variierte. Teilweise unterschied sich das Datalogging zwischen dem rechten und linken Ohr, sodass zur Auswertung der Mittelwert gebildet wurde. Falls Kinder mit Knochenleitungsgeräten versorgt und das Datalogging vorhanden war, wurde dieser Wert aufgenommen. Bestand eine einseitige Versorgung, ist jeweils der Wert der einen Hörhilfe gewertet worden. Falls kein Wert verfügbar war (n=56), wurde dies separat gekennzeichnet. Hier wurde lediglich die Angabe der Eltern verwendet. An einem Vorstellungstermin wurde die audiometrische Untersuchung, die Kontrolle der Hörgeräte und die pädagogische Beratung und Befragung durchgeführt. Den Abschluss bildete die ärztliche Untersuchung durch die Fachärztin bzw. den Facharzt für Pädaudiologie und Phoniatrie.
LittlEars-Fragebogen (LEAQ)
Mit dem LEAQ wird der Verlauf der Hör- und Sprachentwicklung um das erste Lebensjahr unter Berücksichtigung der Hörerfahrung in Monaten (12±3 Monate) erhoben. Das Verfahren ist geeignet, um den Verlauf von auditivem Verhalten bei Kleinkindern mit Schwerhörigkeit zu beobachten und mit dem Verhalten von hörenden Kindern zu vergleichen [22]. Der LEAQ besteht aus 35 Fragen, die mit Ja/Nein beantwortet werden können. Die Fragen beschreiben das auditive Verhalten bei Kleinkindern zwischen 0 und 24 Monaten, hierarchisch aufgeführt, im Verlauf der Entwicklung [19]. Der Fragebogen wird gemeinsam mit den Eltern ausgefüllt und je nach Muttersprache auch in der entsprechenden Sprache ausgegeben. Da trotz der verfügbaren Übersetzungen des LEAQ nicht immer vorausgesetzt werden kann, dass der Inhalt schriftlich verstanden wurde, dienen die Fragen einem gelenkten Interview, bei dem auch familiäre Dolmetscher anwesend sein konnten [19].
In der Auswertung wird zwischen drei Gruppen differenziert: Kinder, die einsprachig deutsch aufwachsen, einsprachig mit einer anderen Sprache oder simultan zweisprachig.
Stichprobe
Die Stichprobe umfasst einen Datensatz von N=178 Kindern (m=106/w=72). Die Daten wurden zwischen 2017 und 2022 erhoben. Das Trageverhalten mit Hörgeräten per Befragung und/oder Datalogging wurde bei N=178 Probanden erfasst. Von diesen wurde das Datalogging bei n=122 in der Akte dokumentiert. Bei n=56 wurde das Trageverhalten der Kinder nur durch die Einschätzung der Eltern vorgenommen.
Die Verteilung der Schweregrade der Hörminderung innerhalb der Gruppe ergibt sich wie folgt: geringgradig schwerhörig (20<34 dB/WHO 1) sind 11 Kinder (6,2%), mittelgradig schwerhörig (35–49 dB/WHO 2) sind 33 Kinder (18,5%), mittel- bis hochgradig schwerhörig (50<64 dB/WHO 3) sind 18 Kinder (10,1%), hochgradig schwerhörig (65<84 dB/WHO 4) sind 26 Kinder (14,6%), an Taubheit grenzend schwerhörig (80<94 dB/WHO 5) sind 36 Kinder (20,2%), taub (95 und schlechter/WHO 6) sind 6 Kinder (3,4%), einseitig taub (SSD) sind 28 Kinder (15,7%) und asymmetrisch schwerhörig (AHL) sind 20 Kinder (11,2%). 15 Proband:innen waren mit einem Knochenleitungshörgerät ein- oder beidseitig versorgt [23].
Der Versorgungszeitpunkt mit Hörgeräten lag im Mittel bei 4 Monaten und 9 Tagen (1–21; SD 3,2). Das mittlere Lebensalter bei der Überprüfung der Hörgeräte für diese Auswertung lag bei 12 Monaten und 5 Tagen (2–32), der Zeitraum der Versorgung mit Hörgeräten (das „Höralter“) betrug im Mittelwert 7 Monate und 9 Tagen (0–24).
In den Herkunftsfamilien wurden entweder eine oder mehrere Sprachen gesprochen, davon einsprachig Deutsch 51,7% (n=92), einsprachig eine andere Sprache als Deutsch 30,9% (n=55) und mit mehreren Sprachen innerhalb einer Familie 17,4% (n=31) (s. Tabelle 1 [Tab. 1]).
Tabelle 1: Verteilung in Abhängigkeit vom „Schweregrad“ auf Basis der WHO – Einteilung (3/2021) [23]
Die Ursachen der Hörstörung sind in Tabelle 2 [Tab. 2] aufgeführt.
Tabelle 2: Prozentuale Verteilung der Ursachen der Schwerhörigkeit
Eine isolierte Schwerhörigkeit haben 77,5% (n=138), eine erworbene Schwerhörigkeit im Sinne der auditorischen Synaptopathie/Neuropathie (AS/AN) oder der Zytomegalie 5,6% (n=10), eine Schallleitungsschwerhörigkeit 8,4% (n=15) und eine syndromale Schwerhörigkeit 2,3% (n=4).
Auswertung
Die Auswertung der Daten erfolgt mit Excel und SPSS in der Version 29. Eingesetzt wurden Verfahren der Inferenzstatistik zur Berechnung der Unterschiede zwischen den Medianen der abhängigen und unabhängigen Variablen. Dort wird der Kruskal-Wallis-Test angewendet. Die Effektstärke wird mit dem Korrelationskoeffizienten r berechnet. Zur Darlegung der demografischen Daten wurde die deskriptive Statistik eingesetzt. Der Vergleich der Mittelwerte zwischen den Variablen „Datalogging“ und „Sprachen“ wurde mit einer einfaktoriellen Varianzanalyse berechnet und mit der Bonferroni post-hoc Formel angepasst. Das Signifikanzniveau wird definiert bei p≤0,05 (95% Konfidenzintervall).
Diese Auswertung ist Teil einer Untersuchung, die durch die Ethikkommission der Universität zu Köln (medizinische Fakultät) genehmigt wurde (Dokument: 18–134) Es liegen keine Interessenkonflikte vor.
Hypothesen
- Der Fragebogenscore des LEAQ als Merkmal für die Hör- und Sprachentwicklung korreliert mit dem Schweregrad der Hörschädigung.
- Die Hörgeräte-Trageakzeptanz korreliert mit dem Ergebnis des LEAQ.
- Die Tragezeit unterscheidet sich zwischen den monolingual deutsch aufwachsenden Kindern, den monolingual, aber anderssprachig erzogenen Kindern und der Gruppe der Familien, die einen simultan bilingualen Spracherwerb pflegen.
- Die Ursache der Schwerhörigkeit korreliert mit der Akzeptanz der Hörgeräte.
Ergebnisse
Die deskriptive Analyse der Tragezeit (Datalogging und Befragung der Eltern) mit Hörgeräten ergibt folgende Werte: 8 bis 12 h, (gute) Akzeptanz bei 44,9% (n=80), 4 bis 7,9 h, (mittlere) Akzeptanz bei 25,3% (n=45), weniger als 3,9 h, (schlechte) Akzeptanz bei 29,8% (n=53) (s. Abbildung 1 [Abb. 1]).
Abbildung 1: Ergebnisse des LEAQ-Fragebogens: Darstellung der unterschiedlichen Schweregrade der Hörstörung. Die Legende zeigt farblich markiert die Schweregrade von geringgradig bis taub. Die grau hinterlegten Punkte stehen für die einseitig tauben Probanden (SSD) und die asymmetrisch schwerhörigen Probanden (AHL). Auf der X-Achse ist das Lebensalter aufgetragen und auf der Y-Achse der Punktwert aus dem LEAQ-Fragebogen. 
Im LEAQ werden in der Stichprobe im Mittelwert 15 Fragen (0–35; SD 9,2) mit Ja beantwortet. Mit einem durchschnittlichen Lebensalter von 12 Monaten 5 Tagen (2–32; SD 4,9) entspricht dieser Wert einem Entwicklungsalter von 6–10 Monaten. Das Hörentwicklungsalter liegt im Mittel bei 7 Monaten 8 Tagen (0–24; SD 5,4). Die Diskrepanz zum Lebensalter von 12 Monaten 5 Tagen umfasst für die Stichprobe zwischen 2 und 4 Monaten 5 Tagen. 44% (n=79) wichen mit 12 Monaten 5 Tagen vom Mittelwert 15,0 Punkten ab. Das betrifft 18% der Kinder mit geringgradiger, 9,1% mit mittelgradiger, 50% mit mittel- bis hochgradiger, 53,8% mit hochgradiger, 86% mit an Taubheit grenzender Schwerhörigkeit, 83,3% mit Taubheit, 42,8% mit einseitiger Ertaubung und 15% mit asymmetrischer Schwerhörigkeit (Tabelle 1 [Tab. 1]).
In Abbildung 1 [Abb. 1] stellt das Streudiagramm die Verteilung der Punktwerte im LEAQ in Abhängigkeit des Lebensalters in Monaten und des Schweregrads des Hörverlusts dar. Die Variablen „Schweregrad“ und „Punktwertsumme im LEAQ“ zeigen eine positive Korrelation (Abbildung 2 [Abb. 2]). Im paarweisen Vergleich der Mediane ergibt sich ein signifikanter Unterschied von p≤0,001 zwischen dem Ergebnis im Fragebogenscore bei den hochgradigen bis an Taubheit grenzenden Schwerhörigkeiten (65 dB und Taubheit >95 dB) und den WHO-Schweregraden 1–3. Ebenfalls besteht ein signifikanter Unterschied zwischen der Gruppe der asymmetrischen Schwerhörigkeit (AHL) bzw. einseitigen Taubheit (SSD) und der Gruppe der hochgradigen bis an Taubheit grenzend schwerhörigen Kinder. Die Signifikanzwerte werden mit der Bonferroni-Korrektur angepasst. Für die Gruppen, die sich signifikant unterscheiden, zeigt sich ein Korrelationskoeffizient von r=0,1. Zusammengefasst zeigte der paarweise Vergleich durch den Kruskal-Wallis-Test, dass das Ergebnis im LEAQ durch den Schweregrad der Hörstörung beeinflusst wird. Deshalb ist das Verfahren als Instrument zur Verlaufsdiagnostik während der klinischen Verlaufsbehandlung einsetzbar. Die Gruppe der Kinder mit geringgradiger Schwerhörigkeit unterscheidet sich erwartungsgemäß in Bezug auf die Hör- und Sprachentwicklung von der Gruppe der Kinder mit hochgradiger Schwerhörigkeit oder Taubheit. Jedoch ergeben sich auf Basis des Streudiagramms Hinweise darauf, dass n=79 (44,4%) der Teilnehmer:innen unterhalb des Minimalwertes liegen. Das bedeutet, dass der Spracherwerb bedroht ist und die Hörgerätekontrollen für diese Gruppe besonders wichtig sind, damit frühzeitig Entwicklungsrückstände behandelt werden können. Dies betrifft, wie in Tabelle 1 [Tab. 1] ersichtlich, sämtliche Schweregrade, besonders die Kinder mit hochgradigen bis an Taubheit grenzenden Schwerhörigkeiten, aber auch die Proband:innen mit einseitiger Taubheit (12/28 Kinder) und mittelgradigem Hörverlust (s. Abbildung 2 [Abb. 2]).
Abbildung 2: Ergebnisse der Befragung mit dem LEAQ-Fragebogen unterschieden nach Gruppe. Die Grafik zeigt die Variabilität der Gruppen mit den Schweregraden 50<79 dB und den Kindern mit AHL. Kinder mit hochgradigen und an Taubheit grenzenden Schwerhörigkeiten sind Kandidaten für eine CI-Versorgung [23]. 
Die Korrelation zwischen der Akzeptanz der Hörgeräte und dem Ergebnis im Fragebogenscore ergibt mit 12 Monaten 5 Tagen Lebensalter keinen signifikanten Zusammenhang zwischen Tragedauer der Hörgeräte und dem LEAQ (p<0,353). Daher kann die 2. Hypothese nicht bestätigt werden.
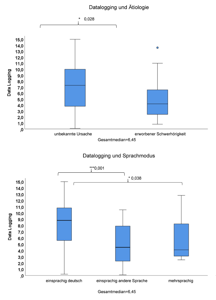
Da die Herkunftssprache und die Lebensrealität einen entscheidenden Einfluss auf die (Gesamt-)Entwicklung des Kindes hat [24], wird der Faktor „Herkunftssprache“ separat analysiert. Deshalb werden mit dem Mediantest zum Vergleich der Stichproben (siehe Abbildung 3 [Abb. 3]) die Vergleichsvariablen „Sprache“ (in der Familie gesprochenen Sprache) und dem „Datalogging“ (n=122) in einer Untergruppe berechnet. Beide Unterschiede sind auf dem gewählten Niveau signifikant (p≤0,001). Einen geringeren Unterschied (p=0,038) gibt es zwischen der Gruppe „Deutsch“ und „simultaner Mehrsprachigkeit“ in der Familie.
Abbildung 3: Mediantest bei unabhängigen Stichproben. Berechnet wird der Unterschied zwischen Datalogging in der Untergruppe n=122 und der Ätiologie sowie der Unterschied zwischen Datalogging und der Sprache, die im Elternhaus gepflegt wird. Hier zeigt sich ein signifikanter Unterschied zwischen erworbener Schwerhörigkeit und dem Datalogging. Der Unterschied zwischen „monolingual Deutsch“ und „monolingual andere Sprache“ ist signifikant und ebenso zwischen „monolingual Deutsch“ und „simultanem“ Zweitspracherwerb. Die erworbenen Schwerhörigkeiten subsummieren die Kinder mit zusätzlichen Krankheiten oder Syndromen.
Der Zusammenhang zwischen „Ätiologie der Schwerhörigkeit“ und „Datalogging“ kann statistisch nachgewiesen werden. Hier unterscheiden sich die Gruppen signifikant (p=0,028) (s. Abbildung 3 [Abb. 3]).
Diskussion
Die an diesem Kollektiv durchgeführte Studie zeigt, dass für die untersuchte Gruppe im Alter von einem Jahr die Tragezeit bei 44,9% der Kinder zwischen 8 bis 12 h liegt und somit eine gute Akzeptanz der Hörgeräte vorhanden ist. 25,3% tragen das Hörsystem zwischen 4 und 7,9 h. Da die Schlafenszeiten von Kindern im ersten Lebensjahr noch länger sein können, ist anzunehmen, dass die Tragedauer im Verlauf des zweiten Lebensjahres zunimmt [16]. Auch bewähren sich die Daten aus dem Datalogging als zusätzliche Orientierung im anschließenden Beratungsgespräch. Dennoch scheint es nicht angezeigt, ausschließlich das Datalogging für die Bewertung der Trageakzeptanz zugrunde zu legen, da Krankheit des Kindes, technische Fehler des Hörsystems oder die Handhabung den Auslesezeitraum beeinflussen [21]. Mit einem Durchschnitt von 4 Monaten und 9 Tagen ist die Einleitung der ersten therapeutischen Maßnahmen innerhalb des angestrebten Zeitraums von sechs Monaten gelungen [11].
Der signifikante Unterschied (Abbildung 3 [Abb. 3]) zwischen den Gruppen „monolingual Deutsch“ und „monolingual andere Sprache“ bzw. „simultaner Zweisprachigkeit“ impliziert, dass bei Familien, die vorwiegend eine andere Sprache sprechen, nach wie vor Beratungs- und/oder Aufklärungsbedarf besteht [16]. Das Tragen der Hörgeräte, mütterliche Bildung und nonverbale Intelligenz sind Prädiktoren für die weitere Entwicklung [25]. Diese Parameter wurden in dieser Auswertung nicht berücksichtigt. Darin liegt die Limitation dieser Auswertung. Die Ursachen dafür, dass die Hörgeräte nicht angelegt wurden, sind nicht systematisch erfasst worden. Anekdotisch berichten die Eltern, dass das Kind die Hörgeräte immer herausnehme, dass es noch sehr klein sei oder dass das Hörverhalten sich mit und ohne Hörgeräte nicht unterscheide. Trotz Anwesenheit von Dolmetscher:innen im Verlauf der Hörgeräteanpassung konnte die Wichtigkeit der Hörgeräteversorgung bei einem Teil der Elternschaft nicht deutlich vermittelt werden. Hindernisse wie die Annahme der Diagnose im Prozess der Versorgung oder die Funktion von Hörgeräten und deren Auswirkung auf die frühe Sprachentwicklung sind zum Zeitpunkt der Untersuchung nicht ausgeräumt.
Kinder mit einer zusätzlichen Krankheit, einem Syndrom oder einer anderen erworbenen Ursache für die Schwerhörigkeit zeigen im Unterschied zur Gruppe der Kinder ohne zusätzliche Behinderung ebenfalls eine geringere Akzeptanz. Obwohl der Zeitpunkt der Versorgung deutlich früher ist, bleiben die Probleme mit der Trageakzeptanz bei Kindern mit zusätzlichen Problemen bestehen [16].
Der LEAQ wurde durchgeführt, damit Familien aus anderen Herkunftsländern in der Muttersprache zum Hörverhalten befragt werden können. Der Test ist in vielen Sprachen verfügbar und kann von vielen Eltern in ihrer Muttersprache niederschwellig ausgefüllt werden. Er führt hierarchisch durch die Hörentwicklung [19]. Wie gezeigt werden konnte, ist es möglich, mit dem LEAQ zuverlässig den Stand der Hörentwicklung zu bestimmen.
Dass Kinder mit einer hochgradigen Schwerhörigkeit (Abbildung 1 [Abb. 1]) tendenziell niedrigere Fragebogenscores aufweisen, war zu erwarten. Jedoch lassen die Ausreißer vermuten, dass durch die frühe Hörgeräteversorgung eine auditorische Reifung zumindest angeregt wird [25]. Für den erfolgreichen Verlauf der Entwicklung werden unterschiedliche Faktoren genannt. Hierzu zählen Zeitpunkt der Versorgung, Schweregrad, Hörgeräteeinstellung und Dauer der Tragezeit pro Tag [8], [25]. Daten aus der Hirnstammaudiometrie weisen darauf hin, dass bis zu einem gewissen Grad, insbesondere im ersten Lebensjahr, bei gering- bis mittelgradig schwerhörigen Kindern durch die Hörgeräteversorgung Reifungsprozesse nachgewiesen werden können [26]. Bei einem Teil der Kinder mit hochgradiger Schwerhörigkeit oder Taubheit handelt es sich um Kandidat:innen für eine Cochlea- Implantation. Die frühzeitige Hörgeräteversorgung vor CI-Versorgung vereinfacht diesen Kindern den Einstieg in das Hören mit CI-System und verkürzt die Phase ohne Versorgung.
Kinder mit hochgradigen Hörminderungen zwischen 65 und 80 dB haben in Abhängigkeit vom Sprachverstehen und der Sprachentwicklung die Möglichkeit, mittels Cochlea-Implantaten besser hören zu können und aufgrund dessen Sprache zu erwerben [27]. In diesem Zusammenhang werden die Verbesserung der sozial-emotionalen Entwicklung, das Verstehen im Geräusch und das Lokalisieren von Sprache in Bezug auf die Lebensqualität diskutiert [28]. Die frühzeitige Diagnose ist für die prospektive Entwicklung deshalb wesentlich [27].
In der Gruppe der gering- bis mittelgradig schwerhörigen Kinder erreichen viele bis zum ersten Lebensjahr keine altersgerechte Hör- und Sprachentwicklung (Tabelle 1 [Tab. 1]). Das weitere Beobachten der Entwicklung im zweiten Lebensjahr scheint hier angemessen. Auch Kinder mit einseitiger Taubheit zeigen noch Auffälligkeiten, so dass der weitere Spracherwerb beobachtet werden sollte und ggf. der Beginn einer logopädischen Behandlung sinnvoll ist.
Dies ist in Bezug auf die weitere Sprachentwicklung essentiell, damit die Ausbildung der phonetisch-phonologischen Entwicklung, die Segmentierung von Sprache und die Ausbildung des ersten Wortschatzes bis zum Alter von zwei Jahren unterstützt werden kann [24]. Schlechtes auditives Verstehen zeigt Langzeitfolgen für die Ausbildung des auditiven Gedächtnisses, den Erwerb des Wortschatzes, die Ausbildung der Grammatik und die sozial-emotionale Entwicklung [6], [24], [29], [30].
Regelmäßige Kontrolltermine in einer Klinik für Phoniatrie und Pädaudiologie sind wünschenswert und notwendig, damit die Meilensteine des primären Spracherwerbs im Rahmen der Verlaufsdiagnostik dokumentiert und bei Bedarf Therapie- und Unterstützungsangebote eingeleitet werden. Hierdurch können mögliche Hindernisse in der Akzeptanz der Hörgeräte ausgeräumt werden.
Die Diagnose und Beratung in Bezug auf die Funktion der Technik bleiben wichtige Aspekte der klinischen Behandlung. Auch die Qualität der frühen Interaktion zwischen Eltern und Kind, der Blickkontakt, die präverbale Entwicklung, verbales und nonverbales Verhalten, Gestik und Mimik sowie die geteilte Aufmerksamkeit sollten bereits früh in die klinische Behandlung aufgenommen werden [6], [31]. Trotz umfassender Diagnose und Beratung bleiben jedoch Hürden in der Vermittlung der Folgen der Diagnose bestehen, insbesondere bei Familien mit einer anderen Muttersprache als Deutsch.
Schlussfolgerung
Um eine möglichst lange Tragezeit der Hörhilfen bzw. eine hohe Hörgeräteakzeptanz im ersten Lebensjahr zu erreichen, sollten folgende Punkte berücksichtigt werden:
- Der Anpassungsprozess und die Beratung sind besonders wichtige Aufgabenbereiche.
- Die Otoplastiken müssen komfortabel sein und die Einstellung der Hörgeräte an die Hörschwelle angepasst sein, damit die Trageakzeptanz erhöht ist und Hörreaktionen deutlich werden.
- In der Phase der Erstdiagnose benötigen Eltern eine niederschwellige Unterstützung durch die Fachkräfte aus der Frühförderung Hören und Kommunikation.
- Hörfrühförderung soll regelmäßig stattfinden.
- Mit einer geringgradigen Schwerhörigkeit reagieren Kinder auf akustische Reize. Dennoch müssen Eltern den langfristigen Nutzen der Hörgeräte für die Sprachentwicklung verstehen.
- Familien aus nichtdeutschsprachigen Kulturkreisen benötigen ggf. Kulturvermittler:innen, damit die Diagnose vermittelt und die Bedeutung der Therapie verstanden wird.
Der LEAQ ist ein Verfahren, das im ersten Lebensjahr gut den Verlauf der Hörentwicklung erfassen kann. Durch die konkreten Beispiele können Eltern das Hörverhalten ihres Kindes selbst einschätzen. Der Fragebogen reflektiert zusätzlich die Entwicklung des Kindes mit Hörgeräten.
Die frühkindliche Diagnose, Intervention und fortlaufende Begleitung von Kindern mit kongenitalen und erworbenen Hörschädigungen sind in einem multiprofessionellen Umfeld erforderlich.
Anmerkung
Interessenkonflikt
Die Autorinnen erklären, dass sie keine Interessenkonflikte im Zusammenhang mit diesem Artikel haben.
Literatur
[1] Lang-Roth R. Kindliche Hör- und Sprachentwicklungsstörungen, Diagnostik und Genetik [Hearing impairment and language delay in infants: diagnostic and genetic]. Laryngorhinootologie. 2014 Mar;93 Suppl 1:S126-49. DOI: 10.1055/s-0033-1363214[2] Nennstiel-Ratzel U, Brockow I, Söhl K, Zirngibl A, am Zehnhoff-Dinnesen A, Matulat P, Mansmann U, Rieger A. Endbericht zur Evaluation des Neugeborenen-Hörscreenings 2011/2012. Oberschleißheim: Bayerisches Landesamt für Gesundheit und Lebensmittelsicherheit; 2017 Jan 15 [abgerufen am/accessed: 2023 Aug 29]. Verfügbar unter/Available from: https://www.g-ba.de/downloads/40-268-4395/2017-05-18_Kinder-RL_Annahme_Endbericht_NHS-Bericht.pdf
[3] Ching TYC, Dillon H, Leigh G, Cupples L. Learning from the Longitudinal Outcomes of Children with Hearing Impairment (LOCHI) study: summary of 5-year findings and implications. Int J Audiol. 2018 May;57(sup2):S105-S111. DOI: 10.1080/14992027.2017.1385865
[4] Ching TYC, Dillon H, Button L, Seeto M, Van Buynder P, Marnane V, Cupples L, Leigh G. Age at Intervention for Permanent Hearing Loss and 5-Year Language Outcomes. Pediatrics. 2017 Sep;140(3). DOI: 10.1542/peds.2016-4274
[5] Mrowinski D, Scholz G, Steffens T, Hrsg. Audiometrie: Eine Anleitung für die praktische Hörprüfung. 5. aktualisierte und erweiterte Auflage. Stuttgart: Georg Thieme Verlag; 2017.
[6] Moeller MP, Carr G, Seaver L, Stredler-Brown A, Holzinger D. Best practices in family-centered early intervention for children who are deaf or hard of hearing: an international consensus statement. J Deaf Stud Deaf Educ. 2013 Oct;18(4):429-45. DOI: 10.1093/deafed/ent034
[7] Ching TY, Dillon H. Major findings of the LOCHI study on children at 3 years of age and implications for audiological management. Int J Audiol. 2013 Dec;52 Suppl 2(0 2):S65-8. DOI: 10.3109/14992027.2013.866339
[8] Cupples L, Ching TY, Button L, Seeto M, Zhang V, Whitfield J, Gunnourie M, Martin L, Marnane V. Spoken language and everyday functioning in 5-year-old children using hearing aids or cochlear implants. Int J Audiol. 2018 May;57(sup2):S55-S69. DOI: 10.1080/14992027.2017.1370140
[9] Matulat P, Parfitt R. The Newborn Hearing Screening Programme in Germany. Int J Neonatal Screen. 2018 Sep;4(3):29. DOI: 10.3390/ijns4030029
[10] Deutsche Gesellschaft für Phoniatrie und Pädaudiologie, Hrsg. S2k-Leitlinie Periphere Hörstörungen im Kindesalter, Kurzfassung, Version 1.8.2013. 2013 [abgerufen am/accessed: 2023 Aug 29]. Verfügbar unter/Available from: https://register.awmf.org/assets/guidelines/049-010k_S2k_Periphere_Hörstörungen_im_Kindesalter_2013-09_abgelaufen.pdf
[11] Gemeinsamer Bundesausschuss. Richtlinie des Gemeinsamen Bundesausschusses über die Früherkennung von Krankheiten bei Kindern (Kinder-Richtlinie) in der Fassung vom 18. Juni 2015. 2015 [abgerufen am/accessed: 2023 Aug 29]. Verfügbar unter/Available from: https://www.g-ba.de/richtlinien/15/
[12] Bundesministerium für Gesundheit. Bekanntmachung eines Beschlusses des Gemeinsamen Bundesausschusses über eine Änderung der Kinder-Richtlinien: Einführung eines Neugeborenen-Hörscreenings Vom 19. Juni 2008. 2008 Jun 19 [abgerufen am/accessed: 2023 Aug 29]. Verfügbar unter/Available from: https://www.g-ba.de/downloads/39-261-681/2008-06-19-Kinder-Hörscreening_BAnz.pdf
[13] Kiese-Himmel C, Kruse E. Zur Hörgeräte-Trageakzeptanz bei Kindern [Acceptance of wearing a hearing aid by children]. HNO. 2000 Apr;48(4):309-13. DOI: 10.1007/s001060050571
[14] Landschaftsverband Rheinland. Frühförderung Hören. [abgerufen am/accessed: 2023 Aug 29]. Verfügbar unter/Available from: https://www.lvr.de/de/nav_main/schulen/frderschulenmitdemfrderschwerpunkt/frhfrderung/hren/hren_1.jsp
[15] Hoffmann V, Schäfer K, editors. Kindliche Hörstörungen: Diagnostik – Versorgung – Therapie. 1st ed. Berlin, Heidelberg: Springer; 2020. DOI: 10.1007/978-3-662-61126-5_1
[16] Kiese-Himmel C, Kruse E. Zur Hörgeräte-Trageakzeptanz bei Kindern [Acceptance of wearing a hearing aid by children]. HNO. 2000 Apr;48(4):309-13. DOI: 10.1007/s001060050571
[17] Glista D, Scollie S, Moodie S, Easwar V; Network of Pediatric Audiologists of Canada. The Ling 6(HL) test: typical pediatric performance data and clinical use evaluation. J Am Acad Audiol. 2014 Nov-Dec;25(10):1008-21. DOI: 10.3766/jaaa.25.10.9
[18] Petermann U, Petermann F, editors. Diagnostik sonderpädagogischen Förderbedarfs: Tests und Trends. Reihe: Tests und Trends der pädagogisch-psychologischen Diagnostik – Band 5. Göttingen: Hogrefe; 2006. S. 261.
[19] Bagatto MP, Moodie ST, Seewald RC, Bartlett DJ, Scollie SD. A critical review of audiological outcome measures for infants and children. Trends Amplif. 2011;15(1):23-33. DOI: 10.1177/1084713811412056
[20] Papoušek M. Vom ersten Schrei zum ersten Wort: Anfänge der Sprachentwicklung in der vorsprachlichen Kommunikation. 3. Auflage. Bern: Huber; 2001.
[21] Liß L, Kreikemeier S. Data Logging – Wie zuverlässig funktioniert die Datenaufzeichnung? GMS Z Audiol (Audiol Acoust). 2019;1:Doc03. DOI: 10.3205/zaud000003
[22] Weichbold V, Tsiakpini L, Coninx F, D’Haese P. Konstruktion eines Eltern-Fragebogens zur Entwicklung des auditiven Verhaltens von Kleinkindern bis zu zwei Jahren [Development of a parent questionnaire for assessment of auditory behaviour of infants up to two years of age]. Laryngorhinootologie. 2005 May;84(5):328-34. DOI: 10.1055/s-2004-826232
[23] Michel O. Die neue WHO-Klassifikation der Schwerhörigkeit: Was hat sich 2021 geändert? [The new WHO classification of hearing loss: what changed in 2021?]. HNO. 2021 Nov;69(11):927-30. German. DOI: 10.1007/s00106-021-01112-2
[24] Moeller MP, Tomblin JB. An Introduction to the Outcomes of Children with Hearing Loss Study. Ear Hear. 2015;36 Suppl 1(01):4S-13S. DOI: 10.1097/AUD.0000000000000210
[25] Lieu JEC, Kenna M, Anne S, Davidson L. Hearing Loss in Children: A Review. JAMA. 2020 Dec;324(21):2195-205. DOI: 10.1001/jama.2020.17647
[26] Stuermer KJ, Foerst A, Sandmann P, Fuerstenberg D, Lang-Roth R, Walger M. Maturation of auditory brainstem responses in young children with congenital monaural atresia. Int J Pediatr Otorhinolaryngol. 2017 Apr;95:39-44. DOI: 10.1016/j.ijporl.2017.01.029
[27] Deutsche Gesellschaft für Hals-Nasen-Ohren-Heilkunde, Kopf-und Hals Chirurgie e.V. S2k-Leitlinie Cochlea-Implantat Versorgung, AWMF-Register-Nr. 017/071. AWMF; 2020. Verfügbar unter/Available from: https://register.awmf.org/assets/guidelines/017-071l_S2k_Cochlea-Implantat-Versorgung-zentral-auditorische-Implantate_2020-12.pdf
[28] Killan CF, Hoare DJ, Katiri R, Pierzycki RH, Adams B, Hartley DEH, Ropar D, Kitterick PT. A Scoping Review of Studies Comparing Outcomes for Children With Severe Hearing Loss Using Hearing Aids to Children With Cochlear Implants. Ear Hear. 2022;43(2):290-304. DOI: 10.1097/AUD.0000000000001104
[29] Ching TY, Day J, Cupples L. Phonological awareness and early reading skills in children with cochlear implants. Cochlear Implants Int. 2014 May;15 Suppl 1:S27-9. DOI: 10.1179/1467010014Z.000000000172
[30] Wong CL, Ching TY, Leigh G, Cupples L, Button L, Marnane V, Whitfield J, Gunnourie M, Martin L. Psychosocial development of 5-year-old children with hearing loss: Risks and protective factors. Int J Audiol. 2018 May;57(sup2):S81-S92. DOI: 10.1080/14992027.2016.1211764
[31] Curtin M, Dirks E, Cruice M, Herman R, Newman L, Rodgers L, Morgan G. Assessing Parent Behaviours in Parent-Child Interactions with Deaf and Hard of Hearing Infants Aged 0-3 Years: A Systematic Review. J Clin Med. 2021 Jul;10(15). DOI: 10.3390/jcm10153345



