[Radiological determination of the position of cochlear implant electrodes and their frequency assignment according to different models]
Hannah-Lina Neumayer 1Youssef Adel 1
Uwe Baumann 1
1 Audiologische Akustik, Klinik für HNO-Heilkunde, Universitätsklinikum Frankfurt, Frankfurt am Main, Deutschland
Abstract
Cochlear implants (CIs) are currently the therapy of choice to regain hearing sensation in patients with severe or complete hearing loss. The electrode carrier inserted into the cochlea can electrically stimulate auditory nerve fibers at different locations. The stimulated population depends on the length and design of the electrode, as well as the individual anatomical variations of the cochlea. The frequency mismatch between the bandpass filter frequency assigned to each electrode and the normal tonotopic distribution of characteristic frequencies along the basilar membrane depends mainly on the insertion depth of the electrode array.
In this study, cone-beam CT was collected from 32 ears after cochlear implantation (MED-EL FLEX28, Innsbruck, Austria) to assess electrode placement. CT images were analyzed to determine electrode positions and to calculate individual frequency mismatch. An overlay of selected slices was used to estimate individual cochlear duct length (CDL). CDL was calculated after setting reference points according to Escudé et al (2006). CDL results were generally comparable with the data presented by Escudé et al. Furthermore, insertion angles of all electrodes were measured. Using the insertion angles, the tonotopic assignment according to Greenwood (position to frequency mapelectrode , Ep-Fm) of the individual electrode contacts was determined using the models of Escudé et al. as well as Stakhovskaya et al (2007).
The comparison of these results with the frequency band assignment of the individual CI processor fitting (MED-EL SONNET) showed a frequency mismatch between 175.8 Hz and 5.48 kHz, which was higher in the apical than in the basal region.
The results of this study showed that the calculation proposed by Stakhovskaya et al. with the organ of Corti as the reference point yielded the minimal interquartile range of the Ep-Fm difference from the individualized model according to Escudé. Thus it can be concluded that for electrode locations close to the lateral wall this method allows more accurate determination of characteristic frequency allocations.
Keywords
cochlear implants, cochlear implant electrodes, frequency assignment, insertion angle, tonotopy
Einleitung
Bei ertaubten Patienten liegt häufig eine Schädigung des Innenohres, also der Hörsinneszellen vor. Die nicht mehr verfügbaren Haarsinneszellen werden durch die elektrische Stimulation des Hörnervs über in die Hörschnecke inserierte Elektroden umgangen. Eine wichtige physiologische Voraussetzung für die Übertragung akustischer Information mittels Cochlea-Implantat (CI) ist die sogenannte Tonotopie der Cochlea bzw. der Basilarmembran. Die Basilarmembran wird in ihrem Verlauf von der Basis zum Apex breiter und ihre Steifigkeit nimmt ab. Dies führt zur frequenzspezifischen Auftrennung von akustischen Signalen entlang der Basilarmembran. 1961 formulierte Greenwood [1] den Zusammenhang zwischen Frequenz und Ort der maximalen Auslenkung der Basilarmembran (Greenwood-Funktion).
Nach Implantation eines CIs können verschiedene Verfahren zur Lagekontrolle des Elektrodenträgers eingesetzt werden. Hierbei kommt immer häufiger eine digitale Volumentomographie (DVT) zum Einsatz. Bei der DVT handelt es sich um ein dreidimensionales, radiologisches Schnittbildverfahren, welches Röntgenstrahlen nutzt. Bislang beschränkten sich Arbeiten (zum Beispiel Mistrík und Jolly [2]) darauf, nur die Lage des Mittelpunktes der einzelnen Elektrodenkontakte zu bestimmen. In dieser Arbeit soll zusätzlich die komplette Breite der einzelnen Elektrodenkontakte bei der Lagebestimmung beachtet werden. Die Zuordnung der ermittelten Elektrodenorte zu den stimulierten Frequenzbereichen der Cochlea erfolgt dabei sowohl nach dem Modell von Stakhovskaya et al. [3] als auch nach Escudé et al. [4]. Das Ziel dieser Arbeit ist es, festzustellen, welches Berechnungsmodell zur Ermittlung der individuellen Elektrodenposition-Frequenzzuordnung (Ep-Fz) besser geeignet ist, um die Stimulationsbereiche des Elektrodenträgers möglichst genau zu bestimmen. Hierfür wurde die für jedes CI-versorgte Ohr individuell ermittelte Lage der Elektrodenkontakte innerhalb der Cochlea und dem daraus resultierenden Versatz zwischen der nach verschiedenen Modellen bestimmten Ep-Fz festgestellt und mit den Berechnungen nach den verschiedenen Modellen verglichen.
Grundlagen
Greenwood [1], [5] konnte mit der nach ihm benannten Greenwood-Funktion (1961) den Zusammenhang zwischen Frequenz und Ort der maximalen Auslenkung der Basilarmembran beschreiben. Die Ep-Fz eines bestimmten Ortes auf der Basilarmembran wird durch die maximale neuronale Feuerrate beschrieben, die durch einen bestimmten Sinuston der dem Ort x zugeordneten Frequenz hervorgerufen wird.
Gleichung 1

Die Ep-Fz kann entweder durch die absolute Lage x in mm bezogen auf den Eingang der Cochlea oder einem relativen Lagemaß bestimmt werden. Für die relative Angabe eines bestimmten Ortes werden Abstandsmaße zueinander ins Verhältnis gesetzt. Der Apex wird hierbei als Ort x=0 und die Fußplatte des Stapes (ovales Fenster) als Ort x=1 defniert. Nach Greenwood [5] ist der Parameter A=165,4 Hz für die humane Cochlea zu setzen. Bei Verwendung der absoluten Lage des Ortes x ist α=0,06 zu setzen (x in mm) oder α=2,1 bei relativem Lagemaß (0<x<1). Der Parameter k wird zur Definition einer am apikalsten Ort auftretenden Frequenz von 20 Hz auf 0,88 festgesetzt.
Die Funktion nach Greenwood ermöglicht nur eine annähernde Frequenz-Ort-Zuordnung, da Greenwood bei der Erstellung der Formel von einer einheitlichen Länge der menschlichen Cochlea (35 mm) ausgegangen ist. Wie Stakhovskaya et al. [3] zeigten, können sich aus der individuellen Varianz der Länge der Cochlea Abweichungen der berechneten Ep-Fz ergeben. Allerdings ist das Verhältnis der Länge des Corti-Organs (engl. organ of corti, OC) und der Verteilung der Spiralganglienzellen (SG) innerhalb der Cochlea ausgehend vom Runden Fenster konstant. Aufgrund der beobachteten Unterschiede der Länge der Cochlea verwendeten Stakhovskaya et al. [3] zur besseren Vergleichbarkeit der Ergebnisse das Winkelmaß (in Grad) zur Ortsbestimmung in der Cochlea. Ausgehend von diesen Voraussetzungen formulierten Stakhovskaya et al. [3] die folgende Gleichung zur Bestimmung eines relativen Ortes in der Cochlea in Abhängigkeit vom Ortswinkel (in Grad), wobei als Ausgangspunkt (0 Grad) 1 mm vor dem basalen Ende des Corti-Organs definiert wurde, da dieser Punkt gemäß Stakhovskaya et al. [3] die vordere Begrenzung des runden Fensters darstellt und somit ein leicht zu ermittelnder Ausgangspunkt ist. Als relative Ortfunktion y(x) der Cochlea ergibt sich nach Stakhovskaya et al.:
Gleichung 2

Die Wahl der Parameter ist abhängig vom Bezugspunkt. Bei dessen Position innerhalb des Corti-Organs sind die Parameter mit A1=–110, B1=0,002, C1=115 festzusetzen (Funktion yoc(x)). Einem Winkel von x=0 Grad entspricht yoc=5,0%, x=360 Grad entsprechen 61,5%, x=720 Grad (2 Windungen) 88,9% relativer Ort bezogen auf das Runde Fenster.
Ist als Bezugspunkt der Ort der Spiralganglienzellen (SG) vorgesehen, sind A2=–99,3, B2=0,004, C2=105 einzusetzen (Funktion ysg(x)). Stakhovskaya et al. [3] stellten signifikante Unterschiede für die mittels Gleichung 2 an den Orten OC und SG bestimmten Ep-Fz fest. Die Strecke, welche sich aus der Verteilung der SG entlang der Mitte des Rosenthal-Kanals ergab, zeigte sich signifikant kürzer als die Strecke der Verteilung des OC innerhalb der Cochlea. Der Rosenthal-Kanal ist eine knöcherne Ausziehung des Modiolus (zentrale knöcherne Achse der Cochlea), welcher die Spiralganglienzellen umschließt. Es zeigte sich eine signifikante Korrelation zwischen der absoluten Länge von OC und SG, welche die Annahme zulässt, dass bei bekannter Länge des OC die Berechnung der Länge der SG möglich ist. Durch die unterschiedliche Länge der Verteilung von OC und SG ist der maximale Positionswinkel der SG deutlich kleiner (Abbildung 1 [Abb. 1]).
Abbildung 1: Verlauf von Corti-Organ (durchgezogene schwarze Linie), Spiralganglienzellen im Rosenthal-Kanal (gestrichelte schwarze Linie) entlang der Cochlea (schwarz, übernommen von [3]); die Strecke A zeigt die Distanz vom Runden Fenster zur gegenüberliegenden medialen Wand der Cochlea. B verläuft von der caudalen zur cranialen Begrenzung der Cochlea, entsprechend des Modells von Escudé et al. [2].
Material und Methode
Probanden
DVT Röntgen-Schichtbilder der Elektroden-Lagekontrollen von insgesamt 32 Patienten (15 Männer und 17 Frauen, Altersmittel 65 Jahre ±11,91) wurden retrospektiv ausgewertet. Alle Patienten wurden in der HNO-Klinik des Universitätsklinikums Frankfurt mit einem CI versorgt (Synchrony Mi1200 oder Concerto Implantat MI1000, FLEX28 Elektrodenträger, MED-EL, Innsbruck, Österreich). Als Ursachen für die Ertaubung wurden Kopftraumata, genetische Veranlagungen, Hörsturz, progrediente Innenohrschäden, Morbus Menière, Infekte (Mumps, rezidivierende Otitiden) und Otosklerose aufgezeichnet. Die Probanden wiesen alle keine Missbildungen der Innenohrstruktur auf.
Bilddaten
Die vom Institut für Diagnostische und Interventionelle Radiologie des Universitätsklinikums Frankfurt erstellten DVT-Bilder wurden aus dem PACS (Picture Archiving and Communication System, Darstellung: CW Proxy Tool, GE Healthcare, Frankfurt) exportiert. Bei dem DVT-Gerät handelt es sich um einen ProMax 3D Max ProFace digitalen Volumentomograph (Planmeca Oy, Helsinki, Finnland). Die DVT-Aufnahmen dienten der Darstellung des Felsenbeins.
Um die individuelle Länge des ductus cochlearis (cochlear duct length, CDL) berechnen zu können, wurden jeweils vier für die Identifikation der Begrenzungen des cochleären Lumens relevante Schichten identifiziert. Hierfür wurden coronar projizierte Schichtschnitte verwendet, in denen die caudale, mediale und craniale Begrenzung der Cochlea abgebildet waren. Zusätzlich wurde ein Schnittbild mit Abbildung des runden Fensters ermittelt. Die nach Escudé et al. [4] zu bestimmende Strecke A verläuft hierbei vom runden Fenster (RF) zur gegenüberliegenden medialen Begrenzung der Cochlea.
Die Bilder wurden mit Hilfe des Bildbearbeitungsprogramms GIMP (GNU Image Manipulation Program) bearbeitet. Das vorgewählte Schichtbild zur RF-Darstellung wurde als Bezugsbasis genutzt. Durch Kennzeichnung einer Referenzstrecke in Millimeter im PACS-System konnte diese Strecke nach dem Export in ein Digitalbild einer entsprechenden Anzahl von Pixeln zugeordnet werden. Mit Hilfe der Zuordnung von Pixel und Längeneinheit in mm wurde die Berechnung der CDL vorgenommen. Im Anschluss wurde im Bildbearbeitungsprogramm die Deckkraft der Schichtaufnahmen individuell so eingestellt, dass alle relevanten Punkte noch gut zu erkennen waren (Abbildung 2 [Abb. 2]).
Abbildung 2: Darstellungen aller relevanten Begrenzungen und Strukturen einer rechten Cochlea (laterale (1), craniale (2), mediale (3), caudale (4) Begrenzung und rundes Fenster (5)), eingefärbt zur Hervorhebung der entsprechenden Bereiche; Überlagerung postoperativ entstandener DVT-Bilder mit einliegendem Elektrodenträger; helle, hervorgehobene Bereiche kennzeichnen Elektrodenkontakte. 
Strecken A und B sind beispielhaft in Abbildung 3 [Abb. 3] dargestellt. Die Identifikation der Strecken A und B zur Bestimmung der CDL nutzten Escudé et al. [4] in ihrem Ansatz, den Einführungswinkel eines perimodiolaren Elektrodenträgers in Abhängigkeit von der Größe der Cochlea zu ermitteln. Hierbei werden die beiden Strecken A und B genutzt, um ein Modell der Spiralform der Cochlea abzuleiten. Zur Berechnung der CDL wird, nach Escudé et al. [4], von der folgenden Funktion ausgegangen:
Gleichung 3
Abbildung 3: Rundes Fenster (round window, RW) und Strecken A und B 

Hierbei ist r der Radius, gemessen vom Modiolus zur lateralen Wand der Cochlea. A ist die Strecke vom runden Fenster zur gegenüberliegenden medialen Begrenzung der Cochlea. θ ist der Einführungswinkel (in Radiant) und θc ist das dem Verhältnis der Strecken A/B in Radiant. Escudé et al. [4] konnten durch Analyse von N=42 Innenohren zeigen, dass das Verhältnis A/B relativ konstant ist (A/B=1,32). Dieses Verhältnis eingesetzt in Gleichung 4 ergibt ein θc≈4,1 rad.
Gleichung 4

Der Parameter c ist gegeben durch
Gleichung 5

Um die individuelle CDL (Gleichung 6) zu berechnen, muss über Gleichung 3 der Parameter θ (Einführungswinkel) integriert werden, was zu folgender Gleichung führt:
Gleichung 6

Zur Bestimmung der CDL wurden die individuellen Strecken A und B sowie hieraus der Parameter θc bestimmt. Die Berechnungen erfolgten unter der Annahme von 2 verschiedenen Windungszahlen der Cochlea:
Windungsanzahl 2,5:θ=2,5 · 360°=900°
bzw.
Windungsanzahl 2,75:θ=2,75 · 360°=990°
Die Festlegung auf diese beiden Windungsanzahlen erfolgte, da 87% der von Hardy [6] untersuchten Präparate der Cochlea 2,5 bis 2,75 Windungen aufwiesen.
Berechnung der Insertionswinkel
Die Bestimmung der Insertionswinkel erfolgte mit der aus der Überlagerung der ausgewählten Schnittbilder entstandenen Rekonstruktion. Hierfür wurde die Rekonstruktion mittels der Dynamischen-Geometrie-Software GeoGebra (Markus Hohenwarter, Universität Salzburg) weiter bearbeitet.
(Abbildung 4 [Abb. 4]). Die Hilfskreise dienen zur Darstellung des Verlaufs der ersten zwei Windungen der Cochlea und zur Vereinfachung der Zuordnung der Elektroden zur jeweiligen Windung. Hierfür wurde angenommen, dass sich alle Elektroden, die vor der Strecke Ma und RF (rundes Fenster) liegen, in der basalen Windung liegen und alle folgenden Elektroden in der apikal folgenden Windung. In Abbildung 4 [Abb. 4] umfasst der basale Kreis die Elektroden E12 bis E4, auf dem apikalen Kreis sind die übrigen Elektroden E3 bis E1 erfasst. Anschließend wurde eine Referenzlinie erzeugt, die von der Spitze des Canalis semicircularis superior (engl. superior semicircular canal – SCC) über das Vestibulum (V) bis zum Runden Fenster (RF) reicht. Die Verbindung von Ma bzw. Mb zu RF bilden die Grundlinie (0 Grad) von der ausgehend die Windungen der Cochlea eingeteilt werden und die Lage der einzelnen Elektroden bestimmt werden kann. Zur Bestimmung der Insertionswinkel wurde das Programm PicPick (https://picpick.app/de) genutzt. Der Elektrodenabstand beträgt bei dem in dieser Studie untersuchten FLEX28 Elektrodenträger 2,1 mm. Je nach Position auf dem Elektrodenträger sind die Elektroden einzeln oder paarweise ausgeführt. Um eine möglichst große Kontaktoberfläche abzudecken variieren bei den FLEX Elektrodenmodellen die Durchmesser der Kontakte. Apikal gelegene Elektroden E1 bis E5 weisen einen Kontaktdurchmesser von 0,46 mm auf, während Elektroden E6 bis E12 einen Durchmesser von 0,3 mm besitzen.
Abbildung 4: DVT Rekonstruktion mit markierten Elektroden (blau); der Punkt SCC stellt den Canalis semicircularis superior dar, V kennzeichnet das Zentrum des Vestibulums und RF die aus dem Schnittpunkt zwischen Elektrode und Hilfslinie SCC–V abgeschätzte Lage des runden Fensters; Ma: Mittelpunkt des apikalen Kreises; Mb: Mittelpunkt des basalen Kreises.
E1 (apikal) bis E12 (basal) Elektroden des Elektrodenträgers
Aus den gemessenen Abständen in Grad der Mittelpunkte der einzelnen Elektrodenkontakte wurde der Mittelwert gebildet. Anhand der Tatsache, dass bei dem FLEX28 Elektrodenträger jeder einzelne Kontakt einen Abstand von 2,1 mm besitzt konnte ein Umrechnungsfaktor der tatsächlichen Größe in Winkelmaße berechnet werden. Ausgehend von dem Mittelpunkt der einzelnen Elektrodenkontakte konnte mithilfe des berechneten Faktors und der vom Hersteller angegebenen Breite der Elektrodenkontakte die abgedeckten Winkel, also das apikale und basale Ende jedes einzelnen Kontaktes berechnet werden. Dies wurde für alle 12 Kontakte durchgeführt.
Bestimmung der Elektrodenposition-Frequenzbandzuordnung (Ep-Fz)
In dem Folgenden sollen die betrachteten Modelle zur Berechnung der Ep-Fz dargestellt werden. Der Wert x gibt dabei den auf die Länge der Cochlea normierten Insertionswinkel an und beschreibt, wie weit die Elektrode in die Cochlea eingeführt ist. Der am Ende der Cochlea gelegene Ort (Apex) entspricht hierbei x=1 und der Eingang der Cochlea x=0. Negative Werte für x entsprechen Elektrodenkontakten außerhalb der Cochlea. Zur Ermittlung der zum Ort x zugeordneten Ep-Fz wird dieser anschließend in die Greenwood-Funktion (Gleichung 1) mit relativem Lagemaß eingesetzt.
Modell STAK-OC
Bei Variante 1 zur Ep-Fz-Bestimmung werden in Gleichung 2 die von Stakhovskaya et al. [3] angegebenen Parameter (A1, B1, C1) für den Bezugsort OC verwendet:
Gleichung 7

xi sind die individuell bestimmten Insertionswinkel der Elektrodenkontakte.
Modell STAK-SG
In diesem Fall wird in Gleichung 2 als Bezugspunkt die Lage der Spiralganglienzellen (SG) im Rosenthal-Kanal verwendet. Hierzu werden die Parameter (A2, B2, C2) eingesetzt.
Gleichung 8

Modell ESC
Zur Bestimmung der Ep-Fz nach Escudé et al. wird Gleichung 6 verwendet. Es entspricht xi dem Winkel θ Aus dem Elektroden-Einführwinkel xi wird die Strecke L(xi) bestimmt. Modell ESC verwendet die zwei oben genannten Windungszahlen der Cochlea (2,5 oder 2,75 Windungen).
Gleichung 9

Ergebnisse
Cochlear Duct Length (CDL)
Abbildung 5 [Abb. 5] stellt die nach dem Modell ESC bestimmte CDL unter der Annahme von zwei verschiedenen cochleären Windungsanzahlen (2,5 bzw. 2,75) dar.
Abbildung 5: Cochlear Duct Length (CDL) bestimmt aus den Strecken A/B (Abbildung 3) nach Escudé et al. [2], Boxplot mit Median und Interquartilen, N=32. Parameter: Anzahl der Windungen der Cochlea; der Median lag bei 32,14 mm für die Windungszahl 2,5 und bei 33,66 mm für die Windungszahl 2,75.
Die nach dem Modell ESC unter der Annahme von 2,5 Windungen der Cochlea bestimmte CDL lag im Median bei 32,14 mm. Das 25% Perzentil lag bei 30,08 mm und für das 75% Perzentil lag die berechnete Länge bei 35,84 mm. Mit der Annahme von 2,75 Windungen lag der Median bei 33,66 mm. Die CDL betrug bei dem 25% Perzentil 31,51 mm und 37,60 mm am 75% Perzentil. Es zeigte sich kein signifikanter Unterschied der CDL Variable zwischen den beiden Windungsmodellen (t-Test, repeated-measures two-sample, t(62)=–1,44; p=0,15). Zur Vereinfachung wurden daher die folgenden Berechnungen nur noch unter der Annahme des Vorliegens von 2,5 Windungen der Cochlea durchgeführt.
Modellvergleich STAK-OC und ESC
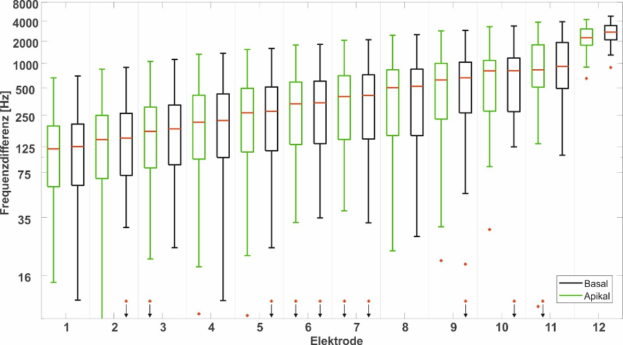
Der Betrag der Ep-Fz-Differenz zwischen STAK-OC und ESC liegt bei Elektrode E1 am apikal gelegenen Ende des Elektrodenkontakts im Median bei 120,23 Hz. Für das basal gelegene Ende dieses Kontakts lag der Median bei 125,89 Hz. Elektrodenkontakt E12 zeigt am apikalen Ort zwischen den beiden Modellen eine Ep-Fz-Differenz mit einem Median von 2,24 kHz und 2,69 kHz am basal gelegenen Ort (Abbildung 6 [Abb. 6]).
Abbildung 6: Differenz in Hz der charakteristischen Frequenz bei den einzelnen Elektroden zwischen den beiden Modellen STAK-OC und ESC (Annahme von 2,5 cochleären Windungen) bei FLEX28 Elektrodenträgern; apikal (grün) stellt das zum Apex führende Ende des Elektrodenkontaktes dar und basal (schwarz) den Bereich des Elektrodenkontaktes, der Richtung Basis der Cochlea führt; rot: Ausreißerwerte
Modellvergleich STAK-SG und ESC
Die nach Modell STAK-SG und ESC berechnete Ep-Fz-Differenz (Annahme von 2,5 Windungen) liegt bei Elektrode E1 am apikalen Ende bei 199,53 Hz (Median). Für das basale Ende lag dieser Wert bei 218,78 Hz. Für Elektrode E12 ergab sich am apikalen Ende eine Frequenzdifferenz von 4,79 kHz und 4,9 kHz am basalen Ende (Mediane, Abbildung 7 [Abb. 7]).
Abbildung 7: Differenz in Hz der charakteristischen Frequenz bei den einzelnen Elektroden zwischen den Modellen STAK-SG und ESC (2,5 Windungen) bei FLEX28 Elektrodenträgern; apikal (grün) stellt das zum Apex führende Ende des Elektrodenkontaktes dar und basal (schwarz) den Bereich des Elektrodenkontaktes der Richtung Basis der Cochlea führt.
Zusammenfassend ist für den Unterschied der vorhergesagten Ep-Fz zwischen den Modellen festzustellen, dass bei ESC zu STAK-OC der Unterschied geringer war als bei ESC zu STAK-SG. ESC wurde als Referenz für den Modellvergleich verwendet, da dieses Modell den Verlauf der äußeren Wand der Cochlea beschreibt und die hier verwendeten Elektroden in der Nähe der lateralen Wand lokalisiert sind. Zudem kann durch die Einbeziehung der individuellen CDL eine genauere Beziehung zur Ep-Fz erwartet werden.
Vergleich der Streuungsmaße STAK-OC zu ESC und STAK-SG zu ESC
Für die nach den verschiedenen Modellen bestimmten Ep-Fz-Unterschiede wurde für jede Elektrodenposition der Interquartilsabstand (IQR) berechnet. Der IQR ist ein Streuungsmaß und gibt die Differenz zwischen dem oberen (75%) und dem unteren (25%) Quartil an. Dieses Streuungsmaß erlaubt Rückschlüsse über die Streuung der mit den verschiedenen Modellen erzielten Ergebnisse.
In Abbildung 8 [Abb. 8] ist der IQR der Ep-Fz-Differenz von STAK-OC zu ESC und STAK-SG zu ESC dargestellt (Annahme 2,5 cochleäre Windungen). Der für Elektrode 1 bestimmte IQR beträgt 137,4 Hz (STAK-OC zu ESC) und 246,7 Hz (STAK-SG zu ESC). Es zeigte sich für beide Modellvergleiche ein Anstieg des IQR mit Maximum bei basalen Elektroden 11 und 12 von 1,26 kHz (STAK-OC zu ESC). Für den Vergleich STAK-SG zu ESC zeigt sich ein Maximum bei Elektrode 10 und 11 mit 1,62 kHz, mit Rückgang von Elektrode 11 zu 12 auf 996,5 Hz. Dies bedeutet, dass bei Wahl des Ep-Fz-Bezugspunktes im Spiralganglion nach Modell STAK-SG eine größere Streuung auftritt, was aufgrund der genannten Eigenschaften des ESC Modelles und der hier verwendeten Elektroden mit Lage in der Nähe zur lateralen Wand auch zu erwarten war.
Abbildung 8: Mittlere Interquartilabstände (IQR) der Frequenzdifferenz in Hertz in Abhängigkeit von der Nummer des Elektrodenkontakts (Elektrode 1 apikal); Vergleich Ep-Fz STAK-OC zu ESC (blau) und STAK-SG zu ESC (gelb); FLEX28 Elektrodenträger, Annahme 2,5 cochleäre Windungen
Bestimmung des Frequenz-Versatzes
Wie bereits erläutert hängt der von den Reizelektroden überspannte Stimulationsbereich stark von der Elektrodenlänge, Elektrodenbauform und den individuellen anatomischen Verhältnissen der Cochlea ab. Die Verteilung der den einzelnen Elektroden zugeordneten Bandpassfilterfrequenzen zeigt im Vergleich zur regulären Ep-Fz-Verteilung einen Frequenzversatz (FV), der zusätzlich von der erreichten Insertionstiefe abhängt.
Weiterhin kann eine unvollständige Insertion der Elektrode zur Notwendigkeit der Deaktivierung von basalen Reizelektroden führen, um störende Nebeneffekte (z.B. Schmerzempfindung oder Fazialisnervstimulation) zu vermeiden. In der Regel wird bei Abschaltung von Elektroden das jeweils zugeordnete Frequenzband auf die verbleibenden Elektrodenkanäle verteilt. Im Probandenkollektiv war in 4 Fällen das Deaktivieren von bis zu 2 basalen Elektroden aus den in Tabelle 1 [Tab. 1] aufgeführten Gründen erforderlich.
Tabelle 1: Auflistung von Ursache der Deaktivierung und Anzahl der deaktivierten, basalen Elektrodenkontakte
In Abbildung 9 [Abb. 9] werden die Auswirkungen der Deaktivierung von 1–2 basalen Elektroden im Vergleich zur vollständig aktivierten Situation (12 Kanäle aktiv) auf die Frequenzbandverteilung dargestellt. Durch die Deaktivierung der basalen Elektroden kommt es zu einer Komprimierung der Frequenzverteilung, da der gleiche Übertragungsbereich auf einer verkürzten Strecke abgebildet werden muss.
Abbildung 9: Frequenzbandzuordnung des CI-Prozessors bei Deaktivierung einer Elektrode (blau) und zwei (rot) basalen Elektroden im Vergleich zur vollständig aktivierten Situation (12 aktivierte Kontakte, schwarz); FLEX28 Elektrodenträger (Anpassprogramm MAESTRO 3.1, MED-EL, untere Frequenz fu=70 Hz, obere Frequenz fo=8,5 kHz) in Abhängigkeit vom Elektrodenkanal; die Elektroden-Frequenzzuordnung wurde mittels MAESTRO festgelegt; Durchgezogen: apikaler Ort Elektrodenkontakt – Gestrichelt: basaler Ort Elektrodenkontakt
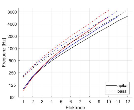
Die Kenntnis der durch das Anpassprogramm des Herstellers vorgegebenen individuellen Frequenzbandzuordnung ist erforderlich, um den FV gegenüber der durch ein Modell abgeschätzten Ep-Fz bestimmen zu können. Der in Abbildung 10 [Abb. 10] dargestellte FV zwischen den vorgegebenen Frequenzbandzuordnungen des CI-Prozessors und der nach dem Modell von STAK-OC bestimmten Ep-Fz steigt umso mehr an, je basaler die Elektrode liegt. Der FV beträgt bei E1 (apikal) 175,8 Hz und bei E12 5,48 kHz. Der große FV-Unterschied zwischen basalen und apikalen Elektrodenorten kann aus den folgenden Gründen entstehen:
Abbildung 10: Frequenzversatz (Hz) zwischen CI-Prozessor Frequenzbandzuordnungen und der nach STAK-OC bestimmten Elektrodenposition-Frequenzzuordnung (MED-EL FLEX28 Elektrode) abhängig vom Elektrodenkanal; schwarze Linie: Mittelwert, Spanne Standardfehler des Mittelwertes; Farbe: Fallkodierung
- E12 wird einem Frequenzbereich bis maximal 8,5 kHz zugeordnet. Tatsächlich werden im Durchschnitt an der Position von E12 sehr viel höhere Frequenzen (etwa 16 kHz) abgebildet.
- Apikale Elektroden sind zahlenmäßig deutlich geringeren Frequenzen zugeordnet. Somit nimmt auch der Betrag des FV ab.
- Die tonotope Frequenzzuordnung entlang der Cochlea ist im Verlauf nicht linear, sondern nach Greenwood logarithmisch verteilt. Da die einzelnen Elektrodenkontakte bei dem hier betrachteten Elektrodenarray in einem festen Abstand verteilt sind, ergibt sich für die gleiche Veränderung des Ortes an unterschiedlichen Stellen der Cochlea ein unterschiedlicher FV.
Abbildung 10 [Abb. 10] stellt den für alle Probanden/Elektroden individuell bestimmten FV in Abhängigkeit vom Elektrodenkanal (Modell STAK-OC) sowie Mittelwerte und Standardfehler-Spannen dar. Für Elektrodenkanal 1 ist der mittlere FV=175,8 Hz, bei Elektrode 12 ist der FV=5,48 kHz. Der FV weist zahlenmäßig an den mittleren und basalen Elektrodenkontakten eine größere Streuung auf als bei apikalen Elektroden.
Diskussion
Ziel der Arbeit war, den an den CI-Elektroden auftretenden Frequenzversatz (FV) zwischen der im CI-Prozessor vorgegebenen Frequenzbandzuordnung und der nach verschiedenen Modellen bestimmten Elektrodenposition-Frequenzzuordnung (Ep-Fz) zu vergleichen. Mithilfe des aus den individuellen zur Elektrodenpositionskontrolle angefertigten DVT-Aufnahmen ermittelten Insertionswinkels der Elektrodenkontakte, wurde die zu den einzelnen Kontakten gehörende Ep-Fz unter Verwendung der Modelle von Escudé et al. [4], ESC, und Stakhovskaya et al. [3], STAK-OC bzw. -SG, bestimmt und der FV entsprechend berechnet.
Cochlear Duct Length (CDL)
Bevor die individuelle CDL der Cochlea für jeden Probanden bestimmt werden konnte, musste zunächst eine möglichst genaue Methode zu deren Bestimmung festgelegt werden. Hierfür wurden einzelne DVT-Schnittbilder mittels eines Bildbearbeitungsprogramms überlagert. Da dies manuell und nicht automatisiert erfolgte, können z.B. durch ungenaues Markieren der Mittelpunkte oder ungenaues Einzeichnen der Hilfskreise Ma und Mb Varianzen auftreten. Es wurden hier keine Untersuchungen zur Abschätzung der durch unterschiedliche Diagnostiker möglicherweise auftretenden Varianzen durchgeführt. Eine Abschätzung der Zuverlässigkeit der in der vorliegenden Arbeit eingesetzten Methodik ist aber durch den Vergleich mit den von Escudé et al. [4] vorgelegten Ergebnissen möglich. Nach ESC ergab sich für das Bestimmtheitsmaß r2 für das Verhältnis von der Strecke A vom runden Fenster zur gegenüberliegenden medialen Begrenzung der Cochlea zur Strecke B (caudale zur cranialen Begrenzung der Cochlea) ein Wert von r2=0,19. In der hier vorliegenden Arbeit lag der Wert des Bestimmtheitsmaßes bei r2=0,12 und für den Korrelationskoeffizienten r=0,34 (Signifikanzniveau p=0,03). Somit zeigte sich ein signifikanter schwach linearer Zusammenhang von Strecke A zu B. Auch bei dem Verhältnis A/B zu A waren die Werte der vorliegenden Arbeit mit einem Bestimmtheitsmaß von r2=0,50 dem Ergebnis von ESC mit r2=0,57 ähnlich. Für den Korrelationskoeffizienten ergab sich ein Wert von r=0,71 (p<0,01).
Die Annahme einer gegenüber den Standard-Modellvorstellungen um ein Viertel vergrößerten Anzahl der Windungen der Cochlea zeigte keinen signifkanten Einfluss auf die Schätzung der CDL für die hier betrachtete Patientengruppe mit N=32. Die mit dem ESC-Modell abgeschätzte mittlere CDL lag bei 32,14 mm. Dieser Wert ist in guter Übereinstimmung mit den von Hardy [6] vorgestellten Ergebnissen (CDL dort 31,52 mm). Eine aktuellere Meta-Analyse (Koch et al. [7]) ermittelte CDL-Werte zwischen 30,76 mm und 37,41 mm.
Die Genauigkeit der Ergebnisse wird auch durch die Auflösung der bildgebenden Verfahren und der für die Auswertung verfügbaren Monitore beeinflusst. Reproduzierbarkeit und Genauigkeit könnten durch Einführung eines standardisierten und automatisierten Messverfahrens erhöht werden. Beispielsweise wurde durch die Firma CAScination AG (Bern, Schweiz) in Zusammenarbeit mit dem CI-Hersteller MED-EL eine otologische Planungssoftware (Otoplan) entwickelt. Diese Software ermöglicht eine detailreiche Darstellung der individuellen Cochleae der Patienten.
Elektrodenposition-Frequenzzuordnung (Ep-Fz) nach verschiedenen Modellen
Greenwood [1] nahm zur Ep-Fz Berechnung eine Länge der menschlichen Cochlea von 35 mm an. Tatsächlich bestehen teils große interindividuelle Unterschiede der Länge der Cochlea (Hardy [6], Koch et al. [7]). Aus diesem Grund wurde in dieser Arbeit erstmals für eine möglicherweise genauere Bestimmung der Ortsfrequenz die individuelle CDL jedes Patienten bestimmt.
Stakhovskaya et al. [3] konnten zeigen, dass das Verhältnis zwischen der Länge des Corti-Organs und der Strecke der Verteilung der Spiralganglienzellen ausgehend vom Runden Fenster konstant ist. Wegen der individuell unterschiedlichen CDLs verwendeten Stakhovskaya et al. [3] in ihren Berechnungen zur besseren Vergleichbarkeit der Ep-Fz-Bestimmung das Winkelmaß in Grad. Nach Stakhovskaya et al. [3] wurde in der vorliegenden Arbeit eine Ep-Fz-Bestimmung für zwei Bezugspunkte in der Cochlea vorgenommen (Corti-Organ, OC) und Spiralganglienzellen, SG). Für OC zeigten sich mit dem Modell ESC besser zu vereinbarende Ergebnisse. Der enger am Modiolus liegende Ort SG zeigte Ep-Fz-Daten mit deutlicher Abweichung gegenüber mit dem Modell ESC bestimmten Ep-Fz-Daten.
Eine mögliche Erklärung der beobachteten Unterschiede ist, dass das Corti-Organ näher an der lateralen Wand liegt, welche bei Escudé et al. [4] als Referenz verwendet wird. Daher war zu erwarten, dass die Ortsfrequenzen nach STAK-OC in besserer Übereinstimmung mit ESC liegen. Weiterhin kommen auf Grund des Designs der MED-EL Elektrodenträger diese eher an der lateralen Wand der Cochlea zu liegen und somit dem Corti-Organ näher. Dies erklärt ebenfalls die geringere Ep-Fz-Differenz bei der Berechnung nach STAK-OC. Es ist deshalb möglich, dass bei Verwendung von Elektroden mit dichterer Lage zum Modiolus (sogenannte „precurved“ oder „modiolus-hugging“ Elektroden) die Ergebnisse anders ausfallen.
Das obere Ende des Übertragungsbereichs aktueller CI-Prozessoren liegt bei etwa 8,5 kHz. Die in der vorliegenden Arbeit ermittelte Ep-Fz der Elektrode E12 (basal) liegt durchschnittlich bei 16 kHz. Somit liegt der FV eine Oktave über dem physiologisch korrekten Wert. Der Übertragungsbereich der CI-Prozessoren wird gegenwärtig ähnlich wie bei Hörgeräten auf den Hauptbereich der Sprachinformation begrenzt, wobei auch möglicherweise eine design-bedingte Limitation der Abtastfrequenz der Analog-Digital Wandler besteht. Um den in der Spezifikation nach DIN EN 61305 [8] für eine „High fidelity“ (Hifi) Übertragungsqualität notwendigen Eigenschaften näher zu kommen, könnte eine Erweiterung des Übertragungsbereichs der CI-Sprachprozessoren von den Herstellern berücksichtigt werden.
Im Bereich der basalen Windung bestehen kurze und gradlinig verlaufende dendritische Verbindungen vom Corti-Organ zu den im Modiolus gelegenen Spiralganglion-Nervenzellen. Im mittleren und apikalen Bereich ist dies nicht mehr gegeben, da sich der faserführende Rosenthal-Kanal nicht bis in die apikalen Windungen erstreckt [3]. Die dendritischen Verbindungen müssen somit einen längeren Weg vom Corti-Organ bis zum neuronal zugeordneten Frequenzbereich zurücklegen. Hierdurch ist im apikalen Bereich eine direkte ortsspezifische elektrische Stimulation der für den tiefen Frequenzbereich vorgesehenen Spiralganglienzellen nicht möglich. Dies könnte die Zunahme des Frequenzversatzes in den apikalen Bereichen erklären.
Die Verteilung der Abstände der Elektrodenkontakte ist derzeit gleichmäßig. Physiologisch orientiert sollte eine eher logarithmische Verteilung der Abstände ausgeführt werden. Allerdings könnten nahe beieinanderliegende Elektrodenkontakte durch die überlappende Verteilung des elektrischen Feldes eine schwächere Unterscheidbarkeit (Elektrodendiskrimination) verursachen [9].
Möglicherweise erklärt der starke FV, weshalb spätertaubte CI-Patienten bei der ersten Aktivierung des CI-Prozessors ein deutlich verzerrtes Hören empfinden. Dieses verzerrte Hören verglich Landsberger et al. [10] mit einer „Donald Duck“ Stimmenempfindung. Abhilfe könnte die von Rader et al. [11] vorgeschlagene individuelle Anpassung des CI-Prozessors unter Berücksichtigung der physiologischen Gegebenheiten (individuelle Ep-Fz-Bestimmung der Elektrodenkontakte und entsprechende Justierung des Filter-Mappings sowie der Stimulationsrate, Rader und Baumann [12]) der Patienten schaffen. Dies ist derzeit auf Grund des hohen technischen und zeitlichen Aufwandes nicht üblich. Zudem steht der Nachweis der Verbesserung des Sprachverstehens durch diese individualisierte Anpassung noch aus.
Zusammenfassung
In dieser Arbeit wurde mithilfe der aus DVT-Schnittbildern bestimmten Einführwinkel der einzelnen Elektrodenkontakte die jeweils zugeordnete Elektrodenposition-Frequenzzuordnung (Ep-Fz) bestimmt. Es wurden hierfür Modelle von Escudé et al. [4] (ESC), und Stakhovskaya et al. [3] (STAK), verwendet und der Frequenzversatz (FV) zwischen der vorgegebenen Frequenzbandzuordnung des CI-Prozessors und der approximierten Ep-Fz errechnet. Die Bestimmung der individuellen Länge des ductus cochlearis (cochlear duct length, CDL) erfolgte nach dem ESC Model. Die vorgestellte Messmethode stellte sich als valide heraus, da mit Escudé et al. [4] vergleichbare Werte ermittelt wurden. Es ergab sich im Mittel ein CDL von 32,14 mm (Hardy [6] CDL=31,52 mm).
Der Vergleich der nach den Modellen STAK-OC und STAK-SG berechneten Ep-Fz mit dem als Bezug verwendeten ESC-Modell ergab unterschiedlich große Differenzen. Hierbei zeigte sich eine Abhängigkeit dieser Ep-Fz-Differenz vom verwendeten Referenzpunkt (OC: Corti-Organ oder SG: Spiralganglienzellen). Insgesamt zeigte sich, dass mit der Berechnung nach STAK-OC der Interquartilabstand (IQR) der Ep-Fz-Differenz geringer ausfiel als bei dem Modell STAK-SG, was aufgrund der Nähe der verwendeten Elektroden zur lateralen Wand auch zu erwarten war. Hieraus lässt sich schließen, dass für Elektroden mit geringem Abstand zur lateralen Wand das STAK-OC Modell besser zur Bestimmung der Ep-Fz geeignet sein könnte.
Ausblick
Die Ep-Fz der basalen Elektrode E12 wurde bei durchschnittlich 16 kHz ermittelt, während der Frequenzbereich des zugeordneten Elektrodenkanals auf maximal 8,5 kHz begrenzt ist. Es ist somit durch weitere Untersuchungen zu prüfen, in wie weit eine Erhöhung der bisher limitierten Bandbegrenzung durch Verringerung des FV eine günstigere Abbildung des akustischen Signals über das CI ermöglicht.
Eine eher logarithmische Anordnung der Elektrodenkontakte könnte eine näher an der physiologischen Frequenzabbildung orientierte Signaleinkopplung bewirken.
Die hier vorgestellten Daten legen nahe, eine Bestimmung der Ep-Fz anhand von DVT-Untersuchungen der Elektrodenlage vorzunehmen, um eine individuell angepasste Zuordnung der Frequenzzuordnung der einzelnen Elektrodenkanäle zu erreichen. Die mit dieser Methode vorgenommenen Anpassungen des CI-Prozessors und die somit erreichten Ergebnisse sind Gegenstand aktueller Studien.
Anmerkungen
Interessenkonflikte
Die Autoren erklären, dass sie keine Interessenkonflikte im Zusammenhang mit diesem Artikel haben.
Diese Arbeit enthält Teile der an der Universität Kaiserslautern eingereichten Masterarbeit von Autorin HLN.
Literatur
[1] Greenwood DD. Critical Bandwidth and the Frequency Coordinates of the Basilar Membrane. J Acoust Soc Am. 1961;33(10):1344-56. DOI: 10.1121/1.1908437[2] Mistrík P, Jolly C. Optimal electrode length to match patient specific cochlear anatomy. Eur Ann Otorhinolaryngol Head Neck Dis. 2016 Jun;133 Suppl 1:S68-71. DOI: 10.1016/j.anorl.2016.05.001
[3] Stakhovskaya O, Sridhar D, Bonham BH, Leake PA. Frequency map for the human cochlear spiral ganglion: implications for cochlear implants. J Assoc Res Otolaryngol. 2007 Jun;8(2):220-33. DOI: 10.1007/s10162-007-0076-9
[4] Escudé B, James C, Deguine O, Cochard N, Eter E, Fraysse B. The size of the cochlea and predictions of insertion depth angles for cochlear implant electrodes. Audiol Neurootol. 2006;11 Suppl 1:27-33. DOI: 10.1159/000095611
[5] Greenwood DD. A cochlear frequency-position function for several species – 29 years later. J Acoust Soc Am. 1990 Jun;87(6):2592-605. DOI: 10.1121/1.399052
[6] Hardy M. The length of the organ of Corti in man. Am J Anat. 1938;(62):291-311. DOI: 10.1002/aja.1000620204
[7] Koch RW, Ladak HM, Elfarnawany M, Agrawal SK. Measuring Cochlear Duct Length - a historical analysis of methods and results. J Otolaryngol Head Neck Surg. 2017 Mar;46(1):19. DOI: 10.1186/s40463-017-0194-2
[8] DKE/AK 742 5 2 Digitale Lautsprecherschnittstelle. DIN EN 61305-5:2004-02: Hi-Fi-Geräte und -Anlagen für den Heimgebrauch - Verfahren zur Messung und Angabe der Leistungskennwerte - Teil 5: Lautsprecher (IEC 61305-5:2003); Deutsche Fassung EN 61305-5:2003, Berlin: Beuth; 2004. DOI: 10.31030/9534346
[9] Baumann U, Nobbe A. Pitch ranking with deeply inserted electrode arrays. Ear Hear. 2004 Jun;25(3):275-83. DOI: 10.1097/00003446-200406000-00008
[10] Landsberger DM, Svrakic M, Roland JT Jr, Svirsky M. The Relationship Between Insertion Angles, Default Frequency Allocations, and Spiral Ganglion Place Pitch in Cochlear Implants. Ear Hear. 2015 Sep-Oct;36(5):e207-13. DOI: 10.1097/AUD.0000000000000163
[11] Rader T, Döge J, Adel Y, Weissgerber T, Baumann U. Place dependent stimulation rates improve pitch perception in cochlear implantees with single-sided deafness. Hear Res. 2016 09;339:94-103. DOI: 10.1016/j.heares.2016.06.013
[12] Baumann U, Rader T [inventors]. Device and Method for Electric Stimulation with the Aid of a Cochlea-Implant. US 2018/0161578 A1. 2016. Available from: https://patentscope.wipo.int/search/en/detail.jsf?docId=US219982027



